【導讀】本文將介紹根據在上一篇文章中測得的開關波形,使用線性近似法來計算功率損耗的方法。
本文的關鍵要點
?可以在線性近似有效范圍內對所測得的波形進行分割,并使用示例公式進行損耗的近似計算。
?MOSFET開關工作時的總功率損耗是開關損耗和導通損耗之和。
本文將介紹根據在上一篇文章中測得的開關波形,使用線性近似法來計算功率損耗的方法。
開關波形的測量方法
通過波形的線性近似分割來計算損耗的方法
根據測得波形計算功率損耗示例
各種波形的開關損耗計算示例
各種波形的導通損耗計算示例
SiC MOSFET通過波形的線性近似分割來計算損耗的方法
通過在線性近似有效范圍內對所測得的波形進行分割,可以計算出功率損耗。
導通和關斷區間的開關損耗
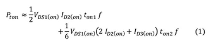
首先,計算開通和關斷時間內消耗的功率損耗Pton和Ptoff。波形使用圖1中的示例波形。功率損耗使用表1中的近似公式來計算。由于計算公式會因波形的形狀而有所不同,因此請選擇接近測得波形的近似公式。
在圖1的波形示例中,開通時的波形被分割為兩部分,前半部分(ton1)使用表1中的例2。另外,使用公式ID1?0作為條件。后半部分(ton2)使用例3中的公式VDS2?0。
在圖1中,會因MOSFET的導通電阻和ID而產生電壓VDS2(on),但如果該電壓遠低于VDS的High電壓,就可以視其為零。

圖1. 開關損耗波形示例
綜上所述,可以使用下面的公式(1)來近似計算開通時的功率損耗。

同樣,將關斷時的波形也分為兩部分,前半部分(toff1)使用表1的例1中的公式VDS1?0,后半部分使用(toff2)例8中的公式ID2?0。在圖1中,由于前述的原因,會產生電壓VDS1(off),但如果該電壓遠低于VDS的High電壓,則將其按“零”處理。這樣,就可以使用下面的公式(2)來近似計算關斷時的功率損耗。

導通期間的功率損耗
接下來,我們來計算導通期間消耗的功率損耗。圖2是用來計算導通損耗的波形示例。由于在TON區間MOSFET是導通的,因此VDS是MOSFET導通電阻和ID的乘積。有關導通電阻的值,請參閱技術規格書。需要從表2中選擇接近該波形形狀的例子并使用其近似公式來計算功率損耗。

圖2. 導通損耗波形示例
在本示例中,我們使用表2中的例1。MOSFET導通期間的導通損耗可以用下面的公式(3)來計算。

MOSFET關斷時的功率損耗在圖2中位于TOFF區間,由于MOSFET關斷時的ID足夠小,因此將功率損耗視為零。
總損耗
如公式(4)所示,MOSFET開關工作時的總功率損耗為此前計算出的開關損耗和導通損耗之和。

需要注意的是,表1和表2中的每個例子都有“參見附錄”的注釋,在附錄中有每個例子的詳細計算示例。各計算示例將會在后續的“各種波形的開關損耗計算示例”和“各種波形的導通損耗計算示例”中出現。
免責聲明:本文為轉載文章,轉載此文目的在于傳遞更多信息,版權歸原作者所有。本文所用視頻、圖片、文字如涉及作品版權問題,請聯系小編進行處理。
推薦閱讀:




