【導讀】隨著新型低成本、高性能微控制器 (MCU) 的面世,數字電源控制的優勢可以被引入到范圍廣泛的嵌入式、工業和控制應用中。傳統的模擬系統容易受到漂移、元件老化、溫度變化和元件容差退化等因素的影響。開發人員也僅限于經典控制實現。此外,基于模擬的系統幾乎沒有靈活性來適應不同的環境操作條件,甚至無法適應系統要求的簡單變化。
它使用基于靈活的 32 位低成本高性能微控制器的線路電平控制 (LLC) 諧振轉換器。探討了數字電源控制的關鍵要素;包括占空比控制、實時死區調整、頻率控制以及用于維持不同安全操作區域的自適應閾值。
隨著新型低成本、高性能微控制器 (MCU) 的面世,數字電源控制的優勢可以被引入到范圍廣泛的嵌入式、工業和控制應用中。傳統的模擬系統容易受到漂移、元件老化、溫度變化和元件容差退化等因素的影響。開發人員也僅限于經典控制實現。此外,基于模擬的系統幾乎沒有靈活性來適應不同的環境操作條件,甚至無法適應系統要求的簡單變化。
當使用數字方法進行設計時,部分電源系統可以用軟件實現,從而帶來一定程度的靈活性,使單一架構能夠在一系列應用和操作條件下提供性能。借助基于軟件的控制算法,開發人員可以:
? 通過配置確保和可預測的系統行為——無論是在工廠還是在通電時——以針對組件容差問題進行調整
? 通過使用算法(即非線性、多變量等)提高效率,這些算法在基于模擬的系統中實施是不可行的
? 通過動態重新校準在延長的系統生命周期內保持性能
? 使用單個控制器支持多個系統
? 通過自診斷提高系統可靠性
? 通過通信鏈路實現智能管理
? 通過允許開發人員使用模型工具和 C 來簡化系統設計,而不必在每次需求更改時重新設計模擬設計
? 通過在同一 MCU 上支持其他系統功能來降低系統成本
本文介紹了使用基于靈活的 32 位、低成本、高性能微控制器的 LLC(線路電平控制)諧振轉換器的數字電源控制實現。將探討數字電源控制的關鍵要素;包括占空比控制、實時死區調整、頻率控制和自適應閾值以保持不同的安全操作區域。
在有源負載期間使用系數調整電壓補償器將展示實施的靈活性,而可編程軟啟動/停止功能和轉換率控制的使用將展示如何避免浪涌電流和降低可聞噪聲。,開發人員將了解混合突發模式控制如何顯著提高輕載和待機效率。
使用微控制器進行數字控制
考慮使用合適的 MCU 來提供使用單個獨立控制器控制系統所需的所有必要性能和外圍設備。具有充足裕量和專用外設的 MCU 將使開發人員能夠實施更先進的控制算法,以進一步提高性能,同時降低系統成本。
很少有微控制器具有針對數字控制應用優化的架構,具有先進的架構功能以增強高速信號處理。主 CPU 內核需要內置 DSP 功能,例如單周期 32 x 32 位乘法和累加 (MAC) 單元,以大大加快計算處理速度。模數轉換器 (ADC) 和 PWM 等集成控制外設設計得非常靈活,可以輕松適應幾乎所有用途,而且軟件開銷非常小。例如,ADC 有一個可編程自動定序器,可以按特定順序循環采樣,以便在應用程序需要時準備好值。擁有更智能的控制外設和強大的 CPU 內核,控制環路運行更緊密,
微控制器需要提供實時數字控制所需的重要 PWM 功能,包括:
? 軟啟動的占空比控制可避免浪涌電流并啟用各種突發模式配置以提高輕負載效率
? 實時死區可調性保證所有工作點的 ZVS 并優化效率
? 觸發區和內部比較器選項可實現瞬時 PWM 禁用,以確保系統的可靠性和安全性
? 低至 150 ps 的高分辨率頻率調節能力,可實現的輸出電壓調節
與模擬控制器不同,使用微控制器的系統可以通過使用 PID 和 2P2Z 等可編程電壓/電流調節器輕松定制以實現性能。開發人員可以通過為安全操作區域邊界設置特定閾值來防止災難性故障,這些閾值與可編程軟啟動/停止功能相關。通過數字控制實現的其他功能包括避免浪涌電流、降低可聞噪聲、使用可編程軟瞬態選項限制轉換速率、用于多通道應用的排序和可編程延遲時間,以及用于待機和輕型的可編程突發模式功能負載。
LLC 諧振轉換器
眾所周知的數字電源拓撲之一是諧振轉換器。在提供高效率和低噪聲的同時,常見的諧振拓撲有幾個明顯的局限性。例如,轉換器理論上無法在空載或輕載條件下進行調節,并且需要寬頻率變化才能在整個負載范圍內調節輸出。在輕載條件下,小諧振電流會導致零電壓開關 (ZVS) 損失。此外,再循環能量會降低高線路或輕負載效率。
LLC 諧振拓撲的簡單結構克服了傳統諧振拓撲的缺點。LLC 諧振拓撲的優點包括:
? 初級側開關的完全 ZVS 操作是可能的,因為與理想變壓器相比,變壓器的磁化電感 (Lm) 相對較小
? 由于在不降低輸出電壓調節的情況下降低開關損耗,從空載到滿載 ZVS 的高效率和高功率密度
? 由于 ZVS,低電磁干擾 (EMI) 和降低的濾波要求,并且開關發生在零漏極電壓的條件下
? 由于集成了變壓器,因此無需外部并聯串聯電感器。磁化電感和漏電感也作為拓撲的一部分
? 由于開關在低電流條件下關閉,因此降低了關斷損耗
? 由于沒有次級濾波電感器,次級整流器上的低壓應力(限制為兩倍輸出電壓)和零電流開關 (ZCS) 操作。此外,次級二極管的 ZCS 消除了其反向恢復問題
諧振轉換器驅動器旨在調節半橋的開關頻率以調節輸出。然而,通過使用低成本微控制器來調整頻率、占空比和死區,可以使整個系統的運行效率更高。圖 1 顯示了一個可變輸入、可變輸出 LLC 轉換器系統。數字控制方法支持使用任何調節器——包括比例積分微分 (PID) 和雙極二零 (2P2Z)——從而簡化了系統的定制。
微控制器內的嵌入式比較器和跳閘區需要在短路、過載、過壓、掉電等情況下提供可編程保護。在控制軟件中,軟啟動/停止功能可避免浪涌電流并降低可聞噪聲。當系統遵循給定的參考電壓電平時,可編程軟瞬變選項會限制轉換率。通過混合占空比和頻率控制進行增益調整,可實現更平滑的啟動曲線,而不會導致過沖或高浪涌電流。通過以突發模式運行系統可提高輕負載效率,這涉及半橋脈寬調制器 (PWM) 的開/關控制。,微控制器上的附加外設應允許用戶控制同步整流器。
圖 1a LLC 諧振轉換器的系統級框圖
圖 1b 數字控制系統
如圖所示,在次級側,二極管電路或同步整流方法的各種組合提高了整體效率。微控制器可以位于初級側或次級側,具體取決于應用要求。
變壓器漏電和磁化電感用作 LLC 拓撲的一部分,以限度地降低成本和尺寸。或者,可以在原型制作期間在外部實施漏感,以簡化設計和故障排除。此外,使用外部電感器的能力提供了優化諧振回路設計的靈活性,以解決特定的制造困難和設計權衡。一些常見的諧振回路設計權衡是系統效率、工作頻率、輸出精度、轉換比、傳導損耗與開關損耗、系統頻率分辨率、/可實現頻率和可變輸入輸出要求。
軟件流程
圖 2 顯示了單級 LLC 轉換器控制軟件流程,分為兩部分:用于控制相關算法的高速、高優先級代碼和用于初始化和后臺任務的低速、低優先級代碼。
高速代碼通常以效率編寫,以實現更大帶寬的控制環路。此代碼使用中斷服務例程 (ISR) 調用,中斷服務例程在調用時能夠中斷后臺任務。對于以可變開關頻率運行的 LLC 轉換器,可能會使用兩個異步運行的 ISR。一個 ISR 將用于處理控制回路算法并以固定頻率調用以避免違反采樣和控制理論。第二個 ISR 將用于處理 PWM 模塊更新并以 PWM 開關頻率(可變)調用,以允許同時更新并限度地減少控制環路計算和更新之間的延遲。
當沒有 ISR 處于活動狀態時,較慢的后臺循環將在剩余時間間隔內執行。這是執行儀表、軟啟動、開/關延遲、保護機制、有源負載控制和通信等系統任務的地方。任務狀態機已作為后臺代碼的一部分實現。任務按組排列(A1、A2、A3…、B1、B2、B3…、C1、C2、C3…)并根據三個 CPU 定時器執行,這些定時器配置有用戶定義的周期 1 ms、5 ms 和分別為 7.5 毫秒。任務在每個組內以“循環”方式執行。例如,如果 B 組每 5 毫秒執行并且有 3 個任務,則每個“B 任務”將每 15 毫秒執行。“慢速”任務可以用 C 語言編寫,而時間要求更高的諧振轉換器控制算法則用匯編代碼編寫。
圖 2:LLC 諧振轉換器控制軟件流程圖
SR PWM 時序注意事項
同步整流器 (SR) 電流具有正半波正弦波形狀。理想的 SR 時序將使 MOSFET 在非零正電流期間導通,并在所有其他時間關閉,這與二極管的導通方式相同。這意味著 SR 將在電流開始時以零電流開啟,并在電流結束時以零電流關閉,從而實現零電流開關 (ZCS)。
可以根據初級側開關時序輕松獲得 SR 開啟時序。這是因為當初級側開關導通時,SR 電流在半周期開始時開始流動。通過將 SR PWM 設置為在其對應的初級側半橋 PWM 的同時或稍晚開啟,可以在 SR 開啟期間實現 ZCS。SR 關斷時序更難獲得。這是因為 SR 關斷電流零交叉點隨頻率變化。在諧振頻率以上,SR 電流實際上在半周期結束之前永遠不會達到零。在這種情況下,SR 關閉時序只是在半周期結束時。即使未實現 ZCS,這也提供了的功率損耗。在諧振頻率下,SR 電流在半周期結束時達到零。在這個情況下,SR 關斷時序也是在半周期結束時,但可以實現 ZCS。在諧振頻率以下,SR 電流在半周期結束前達到零。
這導致三種可能的情況。首先,如果 SR 關斷發生得太晚,負電流會反向流過 SR MOSFET,這是不希望發生的,并可能導致組件損壞。其次,如果 SR 過早關閉,則無法實現 ZCS 并會出現額外的功率損耗。第三,如果 SR 關斷發生在零交叉點,則實現 ZCS。ZCS 的第三種情況是理想的情況。
設置 SR 關閉時序的方法有很多種。一種簡單的方法是選擇固定時序(相對于半周期的開始或結束),以確保 SR 在 ZCS 點或更早關閉所有頻率,從而提供 SR 的一些好處而不會損壞組件。第二種更的方法是根據頻率調整 SR 關閉時序。這將允許所有頻率的 ZCS,但是,除非 SR 關閉時序更新得足夠快,否則在頻率突然偏移后可能會發生前兩種低于諧振頻率的操作情況。這兩種方法還需要通過實驗來確定每個實施所需的 SR 關閉時序,這可能非常耗時或不切實際。第三種方法是直接根據 SR 電流水平調整 SR 關閉時序。這將需要額外的感測電路,但可以簡化開發并降低計算要求。
瞬態調整
為了保持環路調整簡單并避免使用復雜的數學或分析工具,必須通過將自由度重新映射到一組更直觀的系數來考慮自由度的數量。例如,使用五個 2P2Z 穩壓器系數項(B0、B1、B2、A1 和 A2)可以通過將這些項重新映射到 P、I 和 D 系數增益來簡化,每個增益都可以獨立調整。這種方法需要存在周期性瞬態或干擾,并需要一種在交互調整的同時觀察輸出瞬態的方法,而轉換器板上的內置有源負載可以提供周期性干擾(見圖 3)。
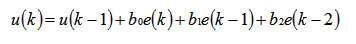
補償器塊具有兩個極點和兩個零點,并且基于通用的無限脈沖響應 (IIR) 濾波器結構。傳遞函數由下式給出:
PID 控制器的遞歸形式由差分方程給出:
在哪里:
其 z 域傳遞函數形式為:
將其與一般形式進行比較,我們可以看出 PID 只不過是 CNTL_2P2Z 控制的一個特例,其中 A1 = -1 且 A2 = 0。
圖 3 有源負載測試,從滿載到空載的瞬態響應調整,具有各種調節系數
突發模式操作
當諧振轉換器輕載或空載時,會有大量初級電流流過變壓器的磁化電感以維持軟開關,從而引入損耗并顯著降低輕載效率。為了克服這個問題,轉換器可以在突發模式下運行,以將轉換器的輸入消耗保持在水平;當負載低于某個值時,程序將進入突發模式。突發模式是一系列幾乎固定頻率的開關周期和一個由長空閑周期隔開的占空比,其中開關處于關斷狀態或占空比設置為零,如圖 4 所示。這樣,平均諧振回路電流的值可以降低到幾乎可以忽略不計的值。此外,(A)(二)(C)
在此實現中,突發模式開/關決策基于輸出紋波。由于紋波量在空載時并不重要,因此可以定義小于輸出電壓 5% 的帶寬來開啟和關閉突發模式。此外,還可以添加一個軟件子程序,根據系統紋波限制調整開/關周期。將圖 4a 與進行比較時,可以顯著減少導通時間以提高輕負載效率。微控制器靈活的控制能力將使開發人員能夠以混合方式實現突發模式操作并調整占空比。
顯示了一個限制為 10% 的占空比。這允許系統獲得更平滑的瞬態,減少浪涌電流并降低組件上的應力。根據系統規格,開發人員可以選擇所有這些備選方案的組合,以獲得的輕載或空載效率。
除了突發模式之外,混合方法還支持轉換器的軟啟動。LLC 轉換器初往往會消耗巨大的電流,這可以通過將開關頻率增加到高達三倍的值來控制。通過混合方法,可以在相對較低的開關頻率下有效抑制浪涌電流。
結論
許多原始設備制造商正在轉向數字電源控制技術以提高系統性能和效率。先進的拓撲結構,例如基于 LLC 諧振轉換器的拓撲結構,可為 OEM 和終用戶帶來許多好處,包括更低的系統成本、更好的響應能力、更高的可靠性和的電源效率。通過使用具有集成硬件組件的可編程方法的靈活性,原始設備制造商可以快速輕松地定制操作,并在比基于模擬的實現更廣泛的操作范圍內限度地提高效率。Piccolo MCU 架構的高集成度還優化了整體性能,同時通過在單個芯片上集成完整的系統功能來降低系統成本。OEM 將通過系統成本優化獲得快速的投資回報。
免責聲明:本文為轉載文章,轉載此文目的在于傳遞更多信息,版權歸原作者所有。本文所用視頻、圖片、文字如涉及作品版權問題,請聯系小編進行處理。
推薦閱讀:
知名半導體芯片制造企業——揚州晶新微電子參展CITE2023
【汽車創新三大驅動力】系列之二:如何應對車輪上的數據中心測試挑戰攀升?






