- 基于DSP與數字溫度傳感器的溫度控制系統
- 溫度控制軟件的設計
- 采用外部供電方式
- 采用連續增計數模式
0 引言
20世紀60年代以來,數字信號處理器(Digital Signal Processing,DSP)伴隨著計算機和通信技術得到飛速發展,應用領域也越來越廣泛。在溫度控制方面,尤其是固體激光器的溫度控制,受其工作環境和條件的影響,溫度的精度要求比較嚴格,之前國內外關于溫度控制基本上都采用溫度敏感電阻來測量溫度,然后用風冷或者水冷方式來達到溫度控制效果,精度不夠且體積大。本文基于DSP芯片TMS320F2812與數字溫度傳感器DSl8B20設計出一個溫度測量系統,根據測量所得的溫度與設定的參量,并利用模糊PID算法計算出控制量,利用該控制量調節由DSP事件管理器產生PWM波的占空比,并作用于半導體制冷器,以達到溫度控制效果,實現控制精度高,體積小的溫度控制系統。
1 系統硬件組成
1.1 DSl8820功能結構與使用
DSl8820是DALLAS公司生產的一線式數字溫度傳感器,具有3引腳T0-92小體積封裝形式;溫度測量范圍為-55~+125℃;可編程為9~12位A/D轉換精度,測溫分辨率可達0.0625℃;CPU只需一根埠線就能與諸多DSl8B20通信,占用微處理器的端口較少,可節省大量的引線和邏輯電路。以上特點使DSl8B20非常適合用于遠距離多點溫度檢測系統中。

DSl8B20的管腳排列如圖1所示。DQ為數字信號輸入/輸出端;GND為接地;VDD為外接供電電源輸入端(在寄生電源接線方式時接地)。DS-l8B20中的溫度傳感器可完成對溫度的測量,用16位符號擴展的二進制補碼讀數形式提供,以O.0625℃/LSB形式表達,其中S為符號位。例如+125℃的數字輸出為07DOH,+25.0625℃的數字輸出為0191H,-25.0625℃的數字輸出為FF6FH,-55℃的數字輸出為FC90H。
[page]
1.2 DSP介紹
這里所用DSP為TMS320,它是美國TI公司新推出的低價位、高性能的16位定點DSP,是專為控制應用系統而設計的,其主頻可達150 MHz,本系統中所用晶振為45 MHz,片內集成了外圍設備接口,主要起控制和計算作用。
1.3 半導體制冷器簡介
半導體制冷器是根據帕爾貼效應制成的,由兩種不同金屬組成一對熱電偶,當熱電偶邁入直流電流后因直流電通入的方向不同,將在熱電偶結點處產生吸熱和放熱現象。制冷器結構如圖2所示。

把一個N型和P型半導體的粒子用金屬連接片焊接成一個電偶對。當直流電流從N極流向P極時,上端產生吸熱現象,此端稱冷端,下端產生放熱現象,此端稱熱端,如果電流方向反過來,則冷熱端相互轉換。
1.4 硬件連接
DSl8B20與DSP連接主要有兩種方式:寄生電源方式和外部供電方式。本文采用外部供電方式,其中18B20的DQ口與F2812的GPIOA0口連接,具體連接如圖3所示。

2 溫度測量
要進行溫度控制,首先要測量所控制目標的溫度值,在本系統中,具體使用數字溫度傳感器DSl8B20與DSP結合,并利用CCS編寫程序,本系統開發平臺為CCS 2.2,前期安裝及芯片設置在此省略,程序流程如圖4所示。

DSl8B20的控制包括三種時序:復位、寫時序、讀時序。
[page]
復位:主機總線在t0時刻發送一個復位脈沖(最短為480μs的低電平信號),接著在t1時刻釋放總線并進入接收狀態;DS1820在檢測到總線的上升沿之后等待15~60μs,接著在t2時刻發出存在脈沖(低電平持續60~240μs)。
寫時序:對于DSl8B20的寫時序分為寫O時序和寫1時序兩個過程。寫O時序和寫1時序的要求不同,當要寫0時序時,總線要被拉低至少60 μs,保證DSl8B20能夠在15~45μs之間正確地采樣I/O總線上的“O”電平,當要寫1時序時,單總線被拉低之后,在15μs之內就得釋放單總線。寫數據持續時間應大于60μs且小于120μs,兩次寫操作時間間隔要大于1μs。
讀時序:對于DSl8B20的讀時序同樣分為讀0時序和讀1時序兩個過程。對于DSl8B20的讀時序是從DSP把單總線拉低之后,在15 s之內就得釋放單總線,以便讓DSl8B20把數據傳輸到單總線上。DSl8B20在完成一個讀時序過程,至少需要60μs才能完成。
需要注意的是,在程序編寫時不管是復位,還是讀寫,都要注意配置GPIOA0端口的狀態(輸入或輸出),同時時序非常重要,本文中的延時都是經過多次測試后總結出來的,根據DSP芯片的晶振不同,延時程序都會改變,否則DSl8B20不會正常工作。
3 溫度控制
3.1 脈寬調制PWM輸出
TMS320的事件管理模塊總共能輸出16路PWM信號,文中僅需要輸出一路占空比可調的PWM信號,并設計從PWMl引腳輸出該方波信號。文中選用通用定時器1(T1)作為時基;全比較單元1保存調制值;計數方式采用連續增計數模式。PWM占空比值與T1的三角波數據比較,輸出PWM信號控制半導體制冷片工作。各寄存器設置如下(高速外設時鐘為22.5 MHz):

文中設計的PWM周期為 1.825 ms,TMS320F2812的計數器記數范圍為0~5DC。因此當系統裝入CMPRl寄存器的值為0或5DCH時,輸出恒為高電平或低電平。現以向CMPRl寫入1 500為例,PWMl引腳的輸出周期為1.825 ms的方波。

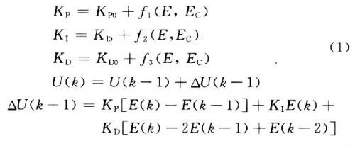
根據前面敘述,用DSl8B20讀取溫度采樣值,再通過參數自整定的Fuzzy-PID算法對數據進行處理:根據E和Ec的狀況,由模糊控制規律再通過模糊表推導出△KP,KI,KD,根據式(1)計算出KP,KI,KD的大小,再計算出U的初值和△U,由式(2)實時計算控制量U。通過參數轉換,將U轉換為PWM參數,修改EvaRegs.CMPRl的數值,改變PWM的占空比,從而控制TEC的制冷/制熱功率。
程序流程圖如圖5所示

3.3 實驗結果
完成以上程序編寫后,首先利用仿真器進行溫度測量模擬,在標準溫度計所得室溫為31.2℃時,在CCS軟件中利用快速觀測窗口檢測到的溫度值為31.187 5℃。通過實驗證明,在外界溫度為31℃,采用默認設置(穩定溫度為25℃)時,該溫度控制系統能使被控物體的溫度穩定在25℃,溫度穩定時間小于100s,精度可達到O.1℃以下,達到了工業控制要求。
4 結語
利用DSP的高速處理能力,結合DSl8B20精準的溫度讀取能力,以及利用CCS開發出溫度控制系統。該溫度控制系統中應用了Fuzzy-PID算法。設計目標是:在同樣的控制精度條件下,使系統的過渡時間及超調量盡可能減小,以改善控制效果。采用復合控制,使系統能有效抑制純滯后的影響,當參數變化較大以及有干擾時,仍能取得較好的控制效果。




