中心議題:
- 設計低頻光纖光柵加速度傳感器通過對其力學模型分析
- 建立光纖光柵加速度傳感器的數學模型
- 通過振動實驗得到在不同阻尼下光纖光柵加速度計的幅頻特性
解決方案:
- 采用光纖傳輸傳感信號,具有強抗電磁干擾能力
- 通過檢測波長的變化實現加速度的測量
低頻振動廣泛存在于生產實際中,其振動頻率一般在100Hz以下.如大型水輪發電機組的振動頻率都在15Hz以下;一般公路和鐵路橋梁振動的固有頻率在2~10Hz左右;工程地震脈動頻率一般在2~50Hz之間.對這些低頻振動的監測常采用磁電式速度傳感器來拾取信號.但在強電磁場環境中,磁電式振動傳感器難以克服電磁場的干擾影響,因而其應用也受到了限制.光纖光柵加速度傳感器是利用光纖光柵的應變傳感機理來實現加速度的測量,并用光的波長變化測量加速度值,用光纖來傳輸傳感信號,集測量、傳輸于一體,因而具有強抗電磁干擾能力.
光纖光柵的應變傳感機理
根據光纖光柵的彈光效應和彈性效應,當光纖光柵在縱向受到應變時會引起布拉格波長的變化,其滿足以下關系:

式中,Pe為光纖光柵的有效彈光系數,ε為光柵在軸向的應變,λB為光纖光柵的布拉格波長,△λB為布拉格波長變化量.
公式(1)為光纖光柵傳感器的應變傳感機理光纖光柵加速度傳感器的設計是利用此機理來間接測量加速度物理量在傳感器的結構設計上利用懸臂梁的受力把加速度量轉換為應變量,從而轉化為布拉格波長的變化,通過檢測波長的變化即可實現加速度的測量.
光纖光柵加速度傳感器數學模型
圖1是光纖光柵加速度傳感器機械結構簡圖,圖中懸臂梁一端固定在機座上,另一端放有質量塊m,把光纖光柵兩端點粘貼在懸臂梁的固定端附近,有利于光柵在受力時應變均勻.在測量物體振動時,把機座固定在振動源上,振動源與機座同時振動,從而引起質量塊m的振動,在慣性力的作用下懸臂梁產生收縮和伸長,帶動光纖光柵產生應變從而引起布拉格波長的變化,通過探測布拉格波長的變化來實現振動的測量.

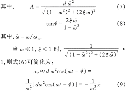
以上光纖光柵傳感器的結構可以簡化為由集中質量m、集中剛度k和集中阻尼c組成的二階單自由度受迫振動系統,其振動力學模型如圖2所示.其中機座振動的位移是x,質量塊m振動的絕對位移是xm,彈簧力為k(x-xm),阻尼力為.設在外力F的作用下機座作簡諧振動的位移是:


式中,ω為振動的角頻率,d為振動的幅值.由牛頓定律,該振動系統的微分方程可寫為:


可見質量塊m相對于機座的位移xr與機座的加速度成正比.此時可以通過測量質量塊的位移變化來測量振動的加速度.
在圖1中懸臂梁相當于振動力學模型中的彈簧,其長為L,寬為b,厚為h.光纖光柵粘貼在懸臂梁的上表面,并粘貼在固定端附近,這樣有利于提高應變靈敏度.質量塊受到振動時,在慣性力的作用下懸臂梁自由端產生的撓度為xr,由此引起固定端附近的光纖光柵應變為:

可見光柵的應變ε與質量塊相對于機座的位移xr之間成線性關系.另外,根據式(1),光纖光柵的布拉格波長變化與位移xr間的關系為:
可見光纖光柵的布拉格波長變化與激振源的振動加速度成線性關系,通過測量布拉格波長的變化就可實現振動加速度的測量.
對于圖1中的懸臂梁其彈簧剛度表示為:

此式即光纖光柵加速度傳感器數學模型,它體現了傳感器的加速度和光纖光柵反射的波長間的關系.在懸臂梁尺寸確定的情況下,通過測量布拉格波長的變化即可實現加速度的測量.
光纖光柵加速度傳感器特性研究
根據式(15)的光纖光柵加速度傳感器的數學模型,設計了固定頻率fn=67Hz的低頻光纖光柵加速度傳感器.彈性梁尺寸為L=80mm,h=1mm,b=5mm,材料選用碳纖維,彈性模量E=128GPa,質量塊m=8.8 g,布拉格光纖光柵在靜止狀態下的波長λB=1551.75nm,波長變化靈敏度80 pm•g-1,經過光電探測器轉化為電信號后的靈敏度為s=200mV.g-1.對傳感器的動態特性在ES-015振動臺上進行了實驗研究,圖3是在三種不同阻尼比ε時的幅頻特性實驗中給激振器旋加的加速度值為0.5g(g為重力加速度),整個測量頻帶是0~100Hz.從圖中可以看出:在l~45 Hz以下是加速度計的幅值平坦區,在45~65Hz是共振區,在65Hz以上是衰減區,所以選用1~45Hz作為其工作區;在共振區內加速度計的特性也與阻尼有關,隨著阻尼比的增加振動幅值呈下降趨勢,同時共振頻率也向低頻偏移,但阻尼比對幅值的影響比較顯著一些,所以通過選用適當的阻尼可以改變加速度計的共振區特性,防止其工作在共振區時由于幅值過大引起傳感器損壞.通常阻尼選在O.707附近,這與其他振動傳感器是相同的.

對單自由度的低頻光纖光柵加速度計來說,橫向抗干擾特性也是一項重要指標.實驗在加速度計的測振方向以及與其垂直的側向分別加0.5g的加速度,在5~45 Hz的頻帶范圍內對兩個方向的振動值進行了對比,測量結果如圖4所示.從圖中可以看出,在加速度計的測振方向激振時加速度計測量輸出維持在100 mV 附近,而在與測振垂直方向激振時輸出在1~4mV范圍內,其橫向抗干擾能力達40 dB.可見此種設計方案可以有效降低橫向干擾的影響.

結論
設計了低頻光纖光柵加速度傳感器通過對其力學模型分析,建立了光纖光柵加速度傳感器的數學模型,得到了傳感器的加速度和光纖光柵波長變化間的關系.通過振動實驗,得到了在不同阻尼下光纖光柵加速度計的幅頻特性,其可用幅頻帶寬為1~45 Hz.另外,通過其橫向特性實驗抗干擾能力達40 dB.光纖光柵加速度傳感器結合自身的強抗電磁干擾特性,可有效代替磁電式振動傳感器實現發電機組的振動測量.



