中心議題:
- 介紹STW傳感器結構組成及其靈敏度的基本理論
- 分析相關因素對表面橫波傳感器靈敏度的影響
解決方案:
- 柵陣的參數設計決定Sβ
- 柵陣厚度的增加有利于靈敏度的提高
引言
近年來在生物檢測研究方面,聲表面波傳感器因具有體積小、重量輕、性能穩定、價格便宜等優點受到廣泛關注。在傳感器中,已經報道過的用于生物化學檢測的壓電傳感器有石英晶體微天平、體剪切波、柔順板波、瑞利波、表面橫波、洛夫波傳感器。其中,石英晶體微天平和體剪切波型傳感器靈敏度不高,柔順板波型傳感器加工困難;瑞利波傳感器由于存在垂直于晶體表面的法向位移分量,導致聲波能量向鄰近的液體輻射,損耗大;只具有水平剪切位移分量的表面橫波和洛夫波常用于生物化學檢測,而表面橫波具有強聲波束縛能力優點,而強的聲波束縛能力意味著高的靈敏度。對于表面橫波傳感器,柵陣的金屬材料種類和厚度是決定器件靈敏度的重要因素。本文將推導這些因素對表面橫波傳感器靈敏度的影響,并進行相關分析。
基本理論
本文分析對象STW傳感器中柵陣部分對微小質量負載的敏感度,其傳感器結構如圖1所示,包括輸入輸出換能器(IDT)和中間的柵陣。本文分析基于AT切割石英材料基片,當兩換能器中間沒有柵陣束縛時,聲波的工作模式是SH型淺體聲波(sur-face skimming bulk waves,SSBW),若在聲波的傳播路徑上放置柵陣,淺體聲波由于被柵陣束縛而在晶體表面傳播,此時淺體聲波轉化為表面橫波。
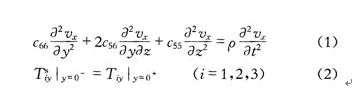
與淺體聲波一樣,表面橫波也是SH型聲表面波,只有平行于晶體表面單一的質點振動方向。因此可以假定表面橫波在晶體表面沿著Z方向傳播,質點在X方向振動??死锼雇蟹蚍匠碳熬w表面的邊界條件可表示為

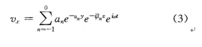
式中:c55,c56和c66表示基片材料的彈性剛度系數;ρ為基片材料的密度;Tiy和Tsiy(i=1,2,3)則分別表示柵陣和基片的應力;vx為質點振動速度。根據弗洛蓋定理(Floquet theorem),將方程的解vx表示為一系列空間諧波的疊加。在此只取0階和-1階,忽略其他階次。

式中:an,αn,βn分別表示第n次諧波的振幅、衰減系數和傳播系數。將vx表達式(3)代入式(1)和(2),可求得表達式中的參數。計算出質點振動速度后,基于Auld微擾理論可以求解傳感器的靈敏度Sβ。對于只有X方向振動位移的表面橫波,靈敏度可表示為

式中:ρ′,μ′,vn分別為柵陣材料密度、拉梅系數和聲波相速度;Pn為表面橫波的聲能量密度

據式(4),將傳感器的設計參數代入可求得Sβ。由Sβ的表達式可知,Sβ是有關聲波工作頻率、基片材料參數和柵陣結構與材料的函數。通常STW傳感器的研制是基于給定的工作頻率和基片材料,此時柵陣的參數設計(柵陣材料、厚度)決定Sβ。
計算實例
根據式(2)推導,以AT切割石英基片的STW傳感器為例進行靈敏度分析。柵陣周期λ為20μm,金屬化比為0.5,根據式(1)~(4)進行計算。當金屬材料為鋁,相對膜厚分別取0.5%,1%,1.5%,2%時,傳感器靈敏度隨著頻率的變化結果如圖2所示。橫坐標是對阻帶中心頻率歸一化后的頻率,從圖中可以看出,在相同的工作頻率下,厚度增加,靈敏度也隨之升高。另外,當歸一化頻率接近1時,靈敏度迅速升高。這是由于當激發頻率接近阻帶邊緣時,柵陣對聲波的束縛能力增強,越來越多的聲波能量集中在晶體表面。如果阻帶邊緣的歸一化頻率點0.97為觀察點,對比計算不同柵陣材料金、銀和鋁的靈敏度。其計算結果如圖3所示,其傳感器靈敏度隨厚度的增加而增加,在同一厚度時,金柵陣的靈敏度大于銀的2倍,遠遠高于鋁。

結論
綜上分析,對于STW傳感器,柵陣厚度的增加有利于靈敏度的提高,柵陣厚度越大,靈敏度越高。但是在同一工作頻率下柵陣厚度的增加同時引起損耗的變化,在實際器件設計時,應當同時考慮這兩個因素,選擇一個最佳厚度。在柵陣厚度值確定時,IDT的激發頻率接近阻帶邊緣頻率時能獲得較大的靈敏度。對于柵陣材料的選擇,由以上的分析可知,金獲得靈敏度最大,大于銀的2倍,遠遠高于鋁。





