【導讀】雖然天線的形狀和尺寸多種多樣,但它們有一個共同點:需要在饋線末端施加阻抗匹配,以確保向負載傳輸最大功率。阻抗匹配電路非常簡單;它們充當濾波器,可確保天線的饋線阻抗與天線輸入端口的輸入阻抗相匹配。要在天線或其他 RF 電路元件實現阻抗匹配,最簡單的方法是從濾波的角度出發。
本文要點
天線的阻抗匹配技術旨在確保將最大功率傳輸到天線中,從而使天線元件能夠強烈輻射。
天線阻抗匹配是指將天線饋線末端的輸入阻抗與饋線的特性阻抗相匹配。
為此通常會使用濾波電路,因為經過配置之后,它們可以在所需傳輸頻率上提供特定阻抗。
雖然天線的形狀和尺寸多種多樣,但它們有一個共同點:需要在饋線末端施加阻抗匹配,以確保向負載傳輸最大功率。阻抗匹配電路非常簡單;它們充當濾波器,可確保天線的饋線阻抗與天線輸入端口的輸入阻抗相匹配。要在天線或其他 RF 電路元件實現阻抗匹配,最簡單的方法是從濾波的角度出發。
定義阻抗匹配要求
天線阻抗并不總是 50 歐姆,因此需要運用阻抗匹配技術。有些天線(如芯片天線)在制造時阻抗較低或較高。對于其他天線,如印刷天線,可能很難設計出完全符合 50 歐姆目標阻抗的天線;走線可能非常寬,或者天線可能占用電路板空間。最終的結果是需要縮小天線尺寸,因而造成阻抗失配。
此外,天線及其匹配網絡可能連接到短饋線,因此饋線的輸入阻抗可能不等于饋線的特性阻抗。相反,輸入阻抗需要與發射器的輸出阻抗相匹配,以便盡可能降低天線輸入端和饋線輸入端的回波損耗 (S11)。雖然帶有集成式 RF 收發器的設備通常采用或可以配置 50 歐姆的片上終端 (on-die termination),但這并不意味著阻抗匹配是完美的。
如果采用基于電路的方法,天線阻抗匹配技術有多種選擇。目標是確保(天線 + 阻抗匹配網絡)等效阻抗與傳輸線入口處的輸入阻抗相匹配。典型的電路拓撲結構如下表所示:

串聯 LC 濾波器之類的電路沒有用處,因為它們會有一個阻帶。如果需要達到非常快速的滾降,也可以使用高階 RF 濾波器,不過這會增加元件數量。無論使用哪種類型的濾波器來實現阻抗匹配,(天線 + 阻抗匹配網絡)阻抗都應與天線饋線特性阻抗相匹配。為此,可以通過 SPICE 仿真進行評估。一旦確定了這種匹配,就可以回溯到天線輸入端口,確保進一步匹配。
輸入阻抗
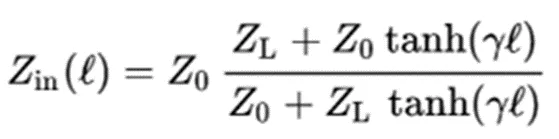
(天線 + 阻抗匹配網絡)與饋線的目標阻抗相匹配后,下一步是確保輸入阻抗也與 50 歐姆相匹配。利用天線輸入端的反射系數和標準傳輸線輸入阻抗方程,就可以很輕松地做到這一點:

已知傳播常數和所選長度的饋線輸入阻抗。請注意,在計算饋線的輸入阻抗之前,必須先知道天線的阻抗。
理想情況下,天線阻抗也應達到 50 歐姆。然后可以計算饋線輸入端的 S11(回波損耗);典型的設計目標是該輸入端口的損耗不超過 20 dB。
Stub 匹配
傳輸線 stub 也可以作為并聯元件,就像并聯電容器或電感器一樣。只需將上述輸入阻抗方程用于 stub 部分,即可計算出 stub 充當等效電路元件的作用。在使用印刷電路元件的無源 RF 電路中,stub 的使用非常普遍,因此也適合用于實現阻抗匹配。請注意,由于電磁場在傳輸線 stub 上的傳播行為,可以使用開路或短路傳輸線 stub 來匹配多個頻率。
2. 阻抗匹配電路的替代方案 在本文中,我們研究了使用各種濾波電路進行阻抗匹配的方法,在連接芯片天線、同軸連接器,甚至印刷天線、走線或縫隙天線時,這些方法十分常見。電路設計方法是標準方法,因為在 SPICE 仿真器中實施參數掃描非常簡單,可檢查天線輸入端口的輸入阻抗和反射系數。對于不喜歡使用電路仿真的用戶,也可以使用其他工具來實現天線阻抗匹配。 史密斯圓圖也可以用于實現天線阻抗匹配。這是一種應用阻抗匹配的圖形方法,需要添加串聯或并聯的 L 和 C 元件來跟蹤(天線 + 匹配網絡)組合的阻抗。網上有許多關于如何使用史密斯圓圖的指南,我們建議新手天線設計人員在首次嘗試使用史密斯圓圖時先參考這些指南。請務必牢記在圖表中應用 L 和 C 元件的串聯和并聯規則(見下文)。 史密斯圓圖的串聯和并聯規則用于將(天線 + 匹配網絡)的總阻抗移至 50 歐姆的目標阻抗。 針對非標準輻射體的最后一種方法是使用電磁場求解器。3D 有限差分頻域 (Finite-difference frequency domain ,即 FDFD) 仿真可用于檢查設備發出的電磁場,然后將其與天線中的電壓和電流分布相關聯。更復雜的求解器可以從這些結構中提取網絡參數,直接計算輸入端口和所需發射頻率/帶寬的 S11。然后,設計人員就可以利用這些數據,使用上文概述的其他技術來確定天線設計的阻抗匹配量。 Cadence 為此提供了 Clarity 3D Solver 電磁仿真工具,此工具非常適合在獨特的 RF 系統的天線設計、互連設計和波導設計中實施阻抗匹配技術。這款強大的 3D EM 仿真器基于高精度有限元方法(FEM),現已集成在 Cadence AWR Design Environment 平臺中,為射頻集成電路(RFIC)/單片微波集成電路(MMIC)、模塊和射頻 PCB 設計者提供了隨時進行大容量電磁分析的機會,實現大型復雜射頻/混合信號系統的設計驗證和簽核。 文章來源:Cadence楷登PCB及封裝資源中心
免責聲明:本文為轉載文章,轉載此文目的在于傳遞更多信息,版權歸原作者所有。本文所用視頻、圖片、文字如涉及作品版權問題,請聯系小編進行處理。
推薦閱讀:





