【導讀】實驗研究發現,射頻濾波器在連續波和超寬帶脈沖條件下其帶外傳輸性能基本一致,但在帶內某些頻段,超寬帶脈沖環境下濾波器的傳遞函數遠大于1。此外,濾波器在超寬帶脈沖下的時域響應還出現了脈沖振蕩特征。針對這些現象,從濾波器的非線性無源互調和Q值效應的兩個方面,分析了濾波器在超寬帶脈沖作用下的響應機理,初步解釋了上述現象。
此外,通過不同輻射場強下的測量結果可知,濾波器無源互調還出現了非線性現象,使得測量結果的普適性受到一定限制。基于傳遞函數的預測結果表明,連續波測量結果的預測波形無論是從能量上還是從峰值功率上都明顯小于實測結果。這些都反映出,濾波器在超寬帶脈沖環境下的響應機理與在連續波環境下的響應機理明顯不同,其預測結果也差異較大。也就是說,連續波測量結果不可用于超寬帶脈沖的效應分析和評估。
外部輻射的電磁環境可通過“前門”和“后門”耦合進入電子系統,使其發生干擾、擾亂或損傷。在“后門”耦合效應方面,已研究了多種不同類型的孔縫、線纜、腔體效應等。在“前門”耦合效應方面,主要關注耦合通道中的濾波器、限幅器等防護設備。其中,對于濾波器,人們主要關注其濾波和插損性能,通常采用低功率連續波掃頻方法(如矢量網絡分析儀)開展相應測試。由此得到的測試結果是否適用于超寬帶(Ultra Wide Band,UWB)脈沖電磁環境還需要進一步討論,這是因為UWB脈沖電磁環境與普通的連續波電磁環境明顯不同。主要區別為,UWB電磁環境的場強很高(峰值可達到幾十kV/m、耦合到濾波器的前端電壓也可達到幾kV)、頻譜范圍很寬(幾百MHz)。在這種環境下,濾波器響應的研究很少。采用實驗研究了微帶線濾波器的對UWB脈沖的抑制性能,但由于耦合的UWB信號強度不強,實驗中沒有觀測到非線性效應。研究結果表明,濾波器在強場、寬譜條件下可能會出現很強的非線性無源互調現象。由此可見,濾波器在UWB脈沖環境下的傳輸特性可能會與普通連續波環境下的傳輸特性不同。
本文采用實驗和理論方法重點研究射頻濾波器在UWB脈沖輻射環境下的響應特性,分析其與矢網掃頻測量結果的差異,并討論這兩種測量結果對超寬帶信號的預測能力,以判斷在UWB脈沖效應研究中,能否直接利用連續波掃頻測試方法獲得的結果。
1 實驗研究
濾波器常用于抑制不需要的電磁干擾信號,工作原理主要是反射和/或吸收系統運行頻帶之外的信號,是一種非常有效的帶外“前門”防護器件,在電磁兼容性設計中有著廣泛的應用。本文研究的射頻濾波器(型號為JD-10LC1A-E002)主要由電容和電感組成,是一種反射式的集總無源濾波器,可有效抑制瞬態電磁干擾,并且能夠承受較高的沖擊電壓。為了研究其傳輸性能,本文分別采用矢網和超寬帶脈沖進行測量。
1.1 矢網測量
采用矢量網絡分析儀的掃頻測量方法,可直接測量得到濾波器的傳遞函數,如圖1所示。其帶通在為25~112 MHz范圍內。

圖1 矢網測量得到的傳遞函數
1.2 超寬帶脈沖測量
針對濾波器的實際使用情況,在超寬帶脈沖測試中,本文采用插入式測試方法,如圖2所示。即利用天線將輻射場耦合到插入設備(被測設備)中,然后用示波器測量插入前后的時域信號。圖3給出了濾波器插入前測量得到耦合的超寬帶脈沖信號。其脈寬大約為1 ns,主要頻譜成份集中在100~700 MHz之間。此外,通過測量并計算得到插入前端的峰值電壓為2373 V。

圖2 濾波器瞬態響應測量示意圖

圖3 濾波器插入前耦合的超寬帶信號
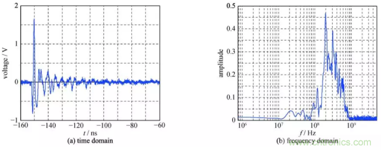
在這個環境下,插入濾波器后測量得到的輸出波形如圖4所示。由此可見,濾波器插入后的耦合信號發生了明顯變化,出現了脈沖振蕩,延長了脈沖作用時間,說明濾波器對耦合的超寬帶脈沖信號具有腔體的儲能特征。此外,根據實驗結果還可得到濾波器對超寬帶脈沖信號的峰值抑制能力約為31 dB。
根據上述測量結果,利用傅里葉變換和下列傳遞函數T (ω)的表達式,可得到濾波器在該環境下的傳遞函數如圖5所示。

式中:Vin為濾波器的前端輸入電壓;Vout為后端輸出電壓。由圖5可見,在超寬帶脈沖環境下,濾波器的帶外抑制性能依然很好,與矢網測量結果基本一致。但帶內的傳遞函數出現了大于1的情況,說明濾波器對超寬帶脈沖的響應有非線性效應。

圖4 濾波器插入后耦合的超寬帶信號

圖5 超寬帶脈沖環境測量得到的傳遞函數
2 響應分析
根據射頻濾波器的電磁特性,本文將從非線性無源互調和Q值方面分析上述實驗結果,研究射頻濾波器對超寬帶脈沖的響應。
2.1 非線性無源互調效應
真實的濾波器具有固有的非線性特征,如接觸非線性、材料非線性等。在實際應用中,這些非線性會導致濾波器產生無源互調效應。在超寬帶脈沖環境下,由于耦合感應的電壓更高,頻譜更寬,因此將會不可避免的出現這種非線性無源互調響應。通常情況下,這種響應的關系用多項式可表示為

式中:a,b,c,d為多項式系數。在超寬帶脈沖作用下,其輸入電壓可表示為

式中:Vin (ωi)為傅里葉變換頻域量。以兩頻率點為例,將式(2)代入式(1)即可得到非線性無源互調的各階產物為

式中:m,n為整數,(|m|+|n|)為互調階數。不同于通信系統主要關注的是兩個頻點的 3 階互調產物,本文的超寬帶脈沖含有連續頻譜,需要考慮的連續譜的互調產物,因此計算難度更大。當互調產物落在帶內時,將會通過濾波器,從而導致傳遞函數大于 1。當互調產物落在通帶之外時,濾波器將會抑制其通過。
除此之外,互調產物隨著輸入功率的變化還將會出現線性-非線性相互作用。針對同一濾波器,圖6給出了在超寬帶脈沖波形相同、峰值場強較小環境下濾波器的傳遞函數(耦合到前端的輸入電壓約為 214 V)。由此可見,在不同場強的超寬帶脈沖輻射環境下,濾波器的傳輸特性也不同。其主要互調產物不但不同,而且還具有非線性。因此,在超寬帶脈沖作用下,對濾波器的互調產物預測非常困難。

圖6 較小強度的超寬帶脈沖環境測量得到的傳遞函數
2.2 Q值效應
根據濾波器的耦合諧振器理論,它具有一定的Q值。也就是說,濾波器具有儲能和諧振輸出特征。當超寬帶脈沖信號耦合進入濾波器后,濾波器將會存儲超寬帶脈沖信號的能量,然后逐漸輸出。在儲能的過程中,將會出現非線性無源互調。在輸出過程中,將會出現濾波和振蕩,并且振蕩周期逐漸趨向于通帶頻率的周期。此外,脈沖振蕩信號的衰減時間與Q值密切相關,其衰減時間常數τ可表示為

式中:ω為角頻率。一般情況下,射頻濾波器在通帶內的Q值約為幾十,由此可計算得到衰減時間常數約為10 −7 s量級。另外,由圖4可知,經過濾波器后輸出的信號時長(最大值的1/e)約3×10−7 s,這與上述的測量結果基本一致。
3 應用分析
通過上述分析可知,濾波器在低功率連續波環境下和高功率超寬帶脈沖環境下的響應機理不同,得到的傳遞函數也不相同。為了進一步分析其在應用上的差異,可分析他們預測的輸出電壓波形。根據圖2中的輸入電壓V in (t)和圖5中傳遞函數的傅里葉逆變換T (t),利用下式可得預測結果如圖7所示。

式中:Vpred預測結果;⊕為卷積運算符。

圖7 基于兩個傳遞函數的預測波形與實測波形比較
圖7中的實線為實測波形,虛線為基于傳遞函數的預測波形。由此可見,基于超寬帶脈沖測得的傳遞函數,其預測結果與實測結果基本一致。而基于矢網掃頻測得的傳遞函數,其預測結果無論是從能量上、峰值上,還是振蕩特征上都明顯小于實測結果。這主要因為矢網測得的傳遞函數幅度譜明顯小于真實的幅度譜,并且在相位上也存在較大差異。以上結果也反映出連續波掃頻方法測量的結果不可用于超寬帶脈沖耦合效應分析。
4 結論
文中分別在低功率連續波和超寬帶脈沖條件下開展了射頻濾波器響應的實驗研究和理論分析。在超寬帶脈沖條件下,該型濾波器能夠顯著地降低超寬帶信號峰值幅度,但是濾波器的時域響應波形出現了脈沖振蕩特征,并且其傳遞函數在帶內某些頻段遠大于1。這主要是濾波器固有的非線性效應和Q值效應引起的,由此導致在超寬帶脈沖作用下濾波器出現了非線性無源互調、儲能振蕩等現象,其響應機理與連續波條件下的響應機理明顯不同。另外,基于連續波測量結果預測的超寬譜脈沖激勵響應在能量上和峰值功率上都明顯小于實測結果。由此可知,在超寬帶脈沖效應分析和評估中,如果系統中存在濾波器,則不可采用連續波掃頻測試結果進行分析。另外,由于核電磁脈沖與本文研究的超寬帶脈沖具有相似特性:寬譜和強場,因此本文的結論同樣適用于核爆炸電磁脈沖效應的研究。
本文內容轉載自《強激光與粒子束》2020年第3期,版權歸《強激光與粒子束》編輯部所有。
陸希成,邱揚,武靜,田錦,楊志強,西安電子科技大學,上海航天控制技術研究所,西北核技術研究院
免責聲明:本文為轉載文章,轉載此文目的在于傳遞更多信息,版權歸原作者所有。本文所用視頻、圖片、文字如涉及作品版權問題,請聯系小編進行處理。
推薦閱讀:






