【導讀】S參數的概念是源于對互連器件或系統的微波屬性的描述,提供了描述從音頻范圍到毫米波頻率范圍的應用中存在的串擾的最直觀方法。S參數在射頻元件(如濾波器、放大器、混頻器、天線、隔離器和傳輸線)測量中使用最為廣泛。測量結果能確定射頻器件在正向和反向傳輸信號時其以復數值(幅度和相位)表示的反射和傳輸性能。它們全面描述了射頻元件的線性特性。
一、引言
在串行數據鏈路分析和評測使用的高速通信環境中,需要應用程序,在實時示波器的實時波形上執行建模、測量和仿真。針對從被測器件中采集波形使用的測試測量夾具和儀器,這些應用程序被設置成允許用戶加載電路模型。圖1顯示了這種鏈路的方框圖實例。

圖1. 可以使用S參數建模的串行數據鏈路系統示意圖。
S參數模型通常用于這些系統中。本文討論了S參數級聯涉及的問題,介紹了一種防止假信號以及典型零填充插補可能引起的插入額外脈沖的算法。
二、S參數測量
在使用VNA或矢量網絡分析儀測量一個S參數集時,會在一個端口上放一個正弦波入射信號。為獲得反射系數,將測量反射的正弦波幅度和相位。所有其它端口必須使用參考阻抗端接。反射信號與入射信號之比表示為S11、S22、S33……直到端口總數。對多個頻率,完成這一操作。對傳輸項,如某些配置中的S21,將在端口1上放一個正弦波,在端口2上進行測量,反射信號與入射信號之比變成S21.對耦合項和其它傳輸項,將采用端口到端口測量的所有其它組合。這適用于采用參考阻抗端接的所有其它端口,參考阻抗通常為50歐姆。這要求進行測量時,在所有反射和傳輸穩定后,正弦波要保持穩定狀態。
也可以使用TDR階躍發生器、時域反射計或時域傳輸TDT,在時域中測量和計算S參數。階躍中包含同時應用到被測器件的所有關心的頻率。與掃頻正弦測量相比,較低的SNR與TDR/TDT有關。這主要在較高頻率上,階躍信號擁有幅度較小的諧波。
頻率間隔和時間響應周期:
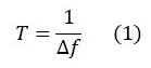
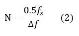
被測S參數數據的頻率間隔決定著樣點數量,直到系統模型環境中表示時域波形的所需采樣率。頻率間隔越小,樣點數量越多,S參數集覆蓋的間隔越長。如果頻率間隔太大,得到的時間間隔太短、響應還未能穩定,那么就會發生假信號。這會導致時域信號被反轉到不正確的位置。頻域幅度響應表現是正確的,但頻域相位響應還會顯示發生了假信號。確定時間間隔的公式如下:

其中:T是S參數集覆蓋的時間間隔,Δf是頻率間隔。這種倒數關系表明,覆蓋的間隔T越長,Δf越小。這會導致頻率分辨率更加精細,進而導致頻域樣點數量提高,直到所需的采樣率頻率。

參數fs表示采樣率。覆蓋DC直到fs范圍的頻域樣點數量等于計算IFFT獲得時域響應時的時域樣點數。因此,在采樣率一定時,Δf越小,時間間隔越長。
級聯S參數和假信號:
S參數模塊級聯是串行數據鏈路仿真和分析環境中的一項關鍵操作。為了了解涉及的多個問題,看一下圖5所示的級聯,其中3個模塊級聯在一起。每個模塊中的模型用電纜長度為1.69 m的一個S參數集表示。為計算系統測試點的傳遞函,必需把多個級聯的模塊組合成一個模塊。3個模塊中,每一個模塊的S參數相同。另外,我們假設轉換到時域中的每個S參數集在時域中全面穩定。
如果沒有要用S參數插補,那么最后級聯的S參數集覆蓋的時間間隔T將與每一個模塊相同。因此,如果3個級聯模塊的總延遲大于各個模塊覆蓋的時間間隔,那么將發生假信號。在時域中,假信號會導致脈沖響應特性發生在錯誤的時間位置,其時序可能會顛倒。這源于時域中的相位假信號,其中相位矢量每次旋轉時會有不到兩個樣點。
級聯S參數實例:
為更詳細地說明問題,看一下有損耗的、均勻的1.69 m電纜的2端口S參數模型,其中在電路仿真器上產生了40歐姆的特性阻抗。間隔在50 MHz直到25GHz的S參數被保存到一個文件中。根據公式(1),這個間隔對應的時間間隔為20 ns。

圖2. Z0特性阻抗為40歐姆的1.69 m電纜示意圖。

圖3. 單個1.69 m電纜模型的s11和s21 S參數圖。幅度(dB)對頻率(GHz)。
上面顯示了這個模型2端口S參數集的頻響圖。注意,S21在25 GHz時的衰減約為-6 dB.因此,如果這樣三條均勻的電纜級聯起來,得到的衰減在25 GHz時為-18 dB.
現在,我們把S參數矢量變換到時域,如下面圖4所示。這要創建從內奎斯特到采樣率的頻譜的復共軛部分,使用從DC直到1/2采樣率時內奎斯特值的S參數數據完成,然后計算IFFT.2端口S參數的時域版本將表示為t11、t12、t21和t22.

圖4. 單個1.69 m電纜模型S參數集的t11和t21時域圖。幅度對時間(ns)。
注意,在t21圖中,可以看到經過一條電纜的時延。延遲為7.971 ns。有多個來回反射到達端口2,但太小了、看不見。這條電纜的S參數的50MHz間隔導致總時間間隔T為20 ns。在表示經過電纜的7.971 ns插入延遲時,這足夠了。
由于電纜Z0的阻抗值為40歐姆,S參數的參考阻抗為50歐姆,因此在電纜的開頭和末尾將有一個反射,同時還會有其它多個來回反射。對t11,反射時間在記錄的開始處,因此在信號來回傳送、等于t21時延兩倍的倍數時,將發生反射。所以,第一個來回反射的位置在15.94 ns處。其它多個來回反射非常小,所以看不到。在這個實例中,20ns的時間T很長,足以支持這第一個來回反射傳送時間。

圖5. 3條完全相同的1.69 m電纜模型模塊級聯起來的電路仿真器示意圖。
另外一個要關注的是,由于50歐姆參考阻抗與電纜的40歐姆特性阻抗不匹配,因此在時間零上,電纜輸入處也有一個反射。由于把S參數轉換到時域時IFFT的泄漏和循環特點,這個脈沖的部分成分被反轉到時間記錄末尾。在對S參數集執行插補和再采樣以及在時域中使用零填充時,這是一個重要細節。
現在看一下把這三條完全相同的S參數集級聯起來,假設頻率間隔仍是50 MHz到25 GHz,總時間T為20 ns。這個電路從上面圖5所示的電路仿真器中獲得。圖6所示的頻域幅度圖與預期相符,三條電纜的S21在25 GHz時為-18 dB,而一條電纜時為-6 dB。
級聯的S參數集被變換到時域,如圖7所示。這些圖顯示了相位假信號的影響,導致時域脈沖不在正確的時間位置。一條電纜的延遲為7.971 ns,因此把這樣三條電纜級聯起來的延遲應該為23.9 ns,由于這個延遲長于S參數集20 ns的時間T,因此將發生假信號。在t21曲線中可以看到這一點,脈沖響應位于3.918 ns處,而不是23.9 ns處。看一下t11,還可以看出,反射假信號偏移到~7.8 ns的位置,而它的位置本應該在~47.8 ns。這是入射信號從端口1傳送到端口2、再傳回到端口1所用的時間。
三、S參數插補算法
必需對每個模塊的各個S參數重新采樣,以便提供更小的頻率間隔,對組合后的S參數獲得更高的時間間隔。

圖6. 3個級聯電纜模塊組合在一起時的S11和S21 S參數。幅度(dB)對頻率(GHz)。
可以采取各種方式,執行再采樣。例如,一種方式是在頻域中執行插補。這可以通過插補實數部分和虛數部分完成,也可以通過插補幅度成分和相位成分完成。這可以使用線性插補實現,但會導致明顯誤差,除非頻率間隔足夠小。使用較高階插補可以改善較高頻率上的結果,但可能會在開始頻率和結束頻率引入瞬態誤差,在開始頻率和結束頻率中,數據集中有不連續點。
下述程序為執行插補和再采樣算法提供了某些優勢:
1. 如果S參數沒有DC值,那么將推斷所有S參數數據矢量。從VNA中測得的S參數沒有DC值。使用TDR/TDT測得的S參數有DC值。

圖7. 把3條級聯電纜模塊組合到一個S參數集的t11和t22時域圖。注意t21中的脈沖偏移到3.918 ns的延遲位置,其本應在23.9 ns。
2. 確定所有S參數集的公共最大頻率。這個值可以是級聯中所有S參數集的最大頻率。把每個S參數集推斷到超過最大公共頻率的頻率。
3. 使用IFFT轉換推斷的頻域S參數,獲得時域脈沖響應。
4. 確定脈沖響應之間的實際公共采樣周期。可以作為脈沖響應的最小采樣周期,獲得實際公共采樣周期。然后對脈沖響應再采樣,以便其擁有相同的采樣率。
5. 在正確的位置零填充脈沖響應,如下面所述,獲得更高的時間間隔。提高的時間間隔可以確定為每個S參數集表示的所有時間間隔之和的倍數。這要求級聯中每一個S參數集都沒有假信號。
免責聲明:本文為轉載文章,轉載此文目的在于傳遞更多信息,版權歸原作者所有。本文所用視頻、圖片、文字如涉及作品版權問題,請聯系小編進行處理。
推薦閱讀:




