【導讀】共模輻射是由于接地電路中存在電壓降(如下圖),某些部位具有高電位的共模電壓,當外接電纜與這些部位連接時,就會在共模電壓激勵下產生共模電流,成為輻射電場的天線。這多數是由于接地系統中存在電壓降所造成的。共模輻射通常決定了產品的輻射性能。
共模輻射是由于接地電路中存在電壓降(如下圖),某些部位具有高電位的共模電壓,當外接電纜與這些部位連接時,就會在共模電壓激勵下產生共模電流,成為輻射電場的天線。這多數是由于接地系統中存在電壓降所造成的。共模輻射通常決定了產品的輻射性能。

1、共模輻射場
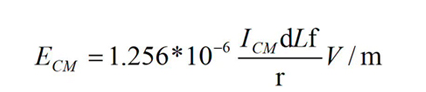
共模輻射主要從電纜上輻射,可用對地電壓激勵的、長度小于1/4波長的短單極天線來模擬,理想天線上的電流是均勻的,實際天線頂端電流趨于0。實際電纜由于另一端接有一臺設備,相當于一個容性負載的天線,即天線的端點接有一塊金屬板,這時天線上流過均勻電流。設天線指向為最大場強,則得到最大場強計算公式為:

式中,f是信號頻率,ICM是電路中的共模電流,L為輻射電路導線長度,r為測試距離。從式中可以看到,共模輻射與電纜的長度L、共模電流的頻率f和共模電流強度ICM成正比,與測試距離r成反比。共模輻射模型等效電路如下圖所示, 其中,uCM為共模輻射電壓,ICM為共模輻射電流,ZCM為線路等效阻抗。

2、減小共模輻射的方法
共模輻射與共模電流的頻率f、共模電流ICM及天線(電纜)長度L成正比。因此,減小共模輻射應分別降低頻率f,減小電流ICM,較小長度L,而限制共模流是減小共模輻射的基本方法。為此,需要做到以下幾點。
(1)盡量減小激勵此天線的源電壓,即地電位;
如下圖措施中采用接地平面就能有效地減小接地系統中的地電位。

(2)提供與電纜串聯的髙共模阻抗,即增加共模扼流圈;
將兩根導線同方向繞制在鐵氧體磁環上就構成了共模扼流圈,直流和低頻時差模電流可以通過,但對于高頻共模電流則呈現很大阻抗,由共模輻射模型等效電路可知,ZCm增大導致共模輻射電流ICM減小,從而共模輻射場強被抑制。

(3)將共模電流旁路到地;
為了將共模電流旁路到地,可以在靠近連接器處,把印刷電路板的接地平面分割出一塊,作為“無噪聲”的輸入/輸出地,為了避免輸入/輸出地受到污染,只允許輸入/輸出線的去耦電容和外部電纜的屏蔽層與“無噪聲”地相連,去耦環路的電感應盡可能小。這樣,輸入/輸出線所攜帶的印刷電路板的共模電流就被去耦電容旁路到地,外部干擾在還未到達元器件區域時也被去耦電容旁路到地,從而保護了內部元器件的正常工作。

(4)減小電纜的長度;
(5)電纜屏蔽層與屏蔽殼體作360°端接;

本文部分摘自:《電磁兼容機理分析方法與應對策略》
免責聲明:本文為轉載文章,轉載此文目的在于傳遞更多信息,版權歸原作者所有。本文所用視頻、圖片、文字如涉及作品版權問題,請聯系小編進行處理。





