【導讀】射頻前端模塊(RFFEM:Radio Frequency Front End Module)是手機通信系統的核心組件,對它的理解要從兩方面考慮:一是必要性,是連接通信收發芯片(transceiver)和天線的必經通路;二是重要性,它的性能直接決定了移動終端可以支持的通信模式,以及接收信號強度、通話穩定性、發射功率等重要性能指標,直接影響終端用戶體驗。
如圖1所示,射頻前端芯片包括功率放大器(PA:Power Amplifier),天線開關(Switch)、濾波器(Filter)、雙工器(Duplexer和Diplexer)和低噪聲放大器(LNA:Low Noise Amplifier)等。

簡述PA、Switch、Filter、Duplexer和Diplexer
1、功率放大器(PA)

2、濾波器(Filter)/雙工器(Duplexer)
RF濾波器包括了SAW(聲表面濾波器)、BAW(體聲波濾波器)、MEMS濾波器、IPD(Integrated Passive Devices)等,而雙工器是包含Rx和Tx濾波器。SAW、BAW濾波器的性能(插入損耗低、Q 值高)是目前手機應用的主流濾波器。SAW 使用上限頻率為2.5GHz~3GHz,BAW使用頻率在 2.0GHz 以上。
對SAW來說,技術趨勢是小型片式化、高頻寬帶化、降低插入損耗。采用更小尺寸,包括倒裝(flip chip packaging)和WLP(晶圓級封裝)、WLCSP(Wafer Level Chip ScalePackaging)技術正在使用,同時更高通帶率、High isolation,High selectivity以及更低價格。
與 SAW 相比,BAW性能更好,成本也更高,但是當頻段越來越多,甚至開始使用載波聚合的時候,就必須得用BAW技術才能解決頻段間的相互干擾問題。BAW所需的制造工藝步驟是 SAW 的10倍,但因它們是在更大晶圓上制造的,每片晶圓產出的 BAW 器件也多了約4倍。即便如此,BAW的成本仍高于 SAW。隨著技術的演進, BAW可能會逐步替代SAW。


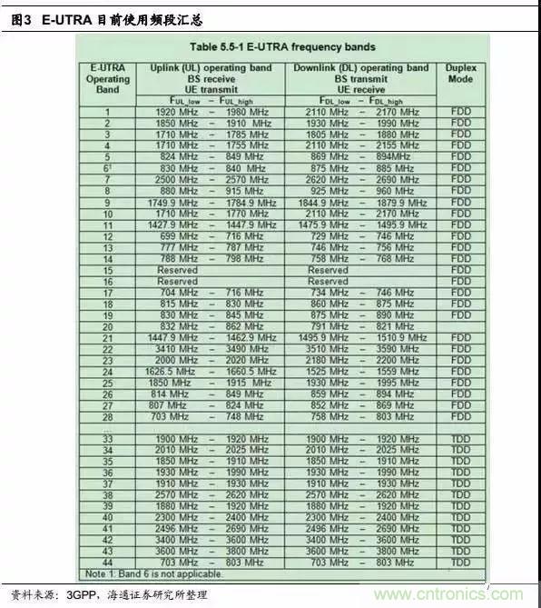
從“五模十七頻”說起,回溯2G到4G手機頻段發展
在4G普及的過程中,“五模十三頻”、“五模十七頻”等概念成為高端手機芯片的重要標志,也成為手機廠商重要的宣傳熱點。這并非是簡單的營銷噱頭,而體現了智能手機兼容不同通信制式的能力,是手機通信性能的核心競爭力指標。


2G到4G,射頻前端芯片數量和價值均明顯增長
手機芯片向多模方向發展以及支持頻段數量指數性增加是手機射頻前端模塊數量快速增長的主要驅動因素。觀察2G到4G射頻前端解決方案的三幅示意圖,可以形成兩點直觀感受:1,射頻前端芯片數量不斷增長;2,射頻前端系統復雜度不斷提高。
圖4是2G功能手機(Feature Phone)的典型射頻前端解決方案,主要的射頻前端芯片有:1個功率放大器模塊(PA),2個發射低通濾波器(LPF),2個接收濾波器(Saw Filter),1個SP6T開關。其中,功率放大器、LPF Filter和SP6T Switch被集成到一顆PA Module里。

圖5是3G手機(WCDMA)的典型射頻前端解決方案,主要的射頻前端芯片在2G方案的基礎上,增加了2組PA Module和4組雙工器(Duplexer)。

圖6是4G LTE手機典型射頻前端解決方案,支持“五模十二頻”,可以看到,在4G時代,射頻前端芯片不僅在數量上產生指數級增長,在設計復雜度上更是大大提高。主要的射頻前端芯片有:1個集成頻段選擇開關的多模功率放大器(MMPA),4個PA Module,3個Duplexer/Multiplexer,6個接收/發射Filter,1個用于TD-LTE模式的S1P2開關,分別用于高頻、低頻和分集電路的3個天線開關模塊,1個接收分集濾波器。

表1整理了2G至4G射頻前端解決方案中器件的數量,可以看到,4G方案的射頻前端芯片數量相比2G方案和3G方案有了明顯的增長。印證了我們對手機射頻前端芯片的數量隨著支持頻段數量的增加而指數級遞增的推論。

從更為直觀的角度觀察,圖7給出了手機射頻前端模塊從2G到4G演進過程中價格和出貨量的變化數據。目前,高端4G智能手機中射頻前端模塊的價格合計已經達到16.25美元,中高端4G產品也有7.25美元。相比2G手機的0.80美元和3G手機的3.25美元,射頻前端模塊的單位產值有了幾倍、幾十倍的提高,并且,隨著4G通信網絡滲透率的不斷提高,高端4G手機的出貨量依然在不斷攀升中。

精選20個手機射頻技術對答
1、什么是RF?
答:RF 即Radio frequency 射頻,主要包括無線收發信機。
2、手機RF IC處理信號的原理如何?
答:當射頻/中頻(RF/IF)IC接收信號時,系接受自天線的信號(約800Hz~3GHz)經放大、濾波與合成處理后,將射頻信號降頻為基帶,接著是基帶信號處理;而RF/IF IC發射信號時,則是將20KHz以下的基帶,進行升頻處理,轉換為射頻頻帶內的信號再發射出去。
3、一般手機射頻/中頻模塊由哪些部分組成?
答:一般手機射頻/中頻模塊系由無線接收、信號合成與無線發射三個單元組成,其中無線接收單元系由射頻頭端、混波器、中頻放大器與解調器所組成;信號合成部份包含分配器與鎖相回路;無線發射單元則由功率放大器、AGC放大器與調變器組成。
4、手機基帶處理器的組成和主要功能是什么?
答:常見手機基帶處理器則負責數據處理與儲存,主要組件為DSP、微控制器、內存(如SRAM、Flash)等單元,主要功能為基帶編碼/譯碼、聲音編碼及語音編碼等。
5、如何理解手機的射頻、中頻和基頻?
答:手機內部基本構造依不同頻率信號的處理可分成射頻(RF)、中頻(IF)及基頻(BF)三大部分,射頻負責接收及發射高頻信號,基頻則負責信號處理及儲存等功能,中頻則是射頻與基頻的中介橋梁,使信號能順利由高頻信號轉成基頻的信號。
6、手機最后的發射頻率是在890---915Mhz,這是調頻波還是調幅波?測使用gmsk調制的gsm手機的射頻部分,為何在測試時使用固定的902.4Mhz的固定頻率?
答:GMSK調制指高斯最小頻移鍵控,是數字調制,某種程度上可以理解成是調頻,但頻率的改變以離散的(不連續的)方式進行,而調頻純粹是模擬調制,頻率的改變是連續的。
從890MHZ到915MHZ共25MHZ頻帶寬度,信道間隔為200KHZ(即0.2MHZ),共有125個上行信道,測試時不可能125個信道都測,通常會選3個有代表性的頻點(信道),兩邊兩個,中間一個,902.4MHZ剛好是中間的信道。
7、推薦RF仿真軟件及其特點?
答:Agilent ADS仿真軟件作RF仿真。這種軟件支持分立RF設計和完整系統設計。詳情可查看Agilent網站。
8、哪里可以下載關于手機設計方案的相應知識,包括幾大模快、各個模塊的功能以及由此對硬件的性能要求等內容?
答:可以看看www.gsmworld.com和www.139130.net,或許有所幫助。關于TI的wireless solution,可以看看www.ti.com中的wireless communications。
9、在做手機RF收發部分設計時,如何解決RF干擾問題?
答:GSM 手機是TDMA工作方式,RF收發并不是同時進行的,減少RF干擾的基本原則是一定要加強匹配和隔離。在設計時要考慮到發射機處于大功率發射狀態,與接收機相比更容易造成干擾,所以一定要特別保證PA的匹配。另外RF前端filter的隔離也是一個重要的指標。PCB板一般是6層或8層,必須要有足夠的ground plane以減少RF干擾。
10、如何消除GSM突發干擾?
答:在PCB布線時,要把數字和射頻部分很好的隔離開,必須保證好的ground plane。一些電源和信號線必須進行有效的電容濾波。
11、選擇手機射頻芯片時,主要考慮哪些問題?
答:在選擇射頻芯片時主要考慮以下幾點:
射頻性能,包括可靠性。
集成度高,需要少的外圍原器件。
成本因素。
12、 “手機接收機前端濾波器帶寬根據接收頻率的帶寬來決定,必須保證帶內信號以最小的插損通過,不被濾除掉。” 在滿足能有效接收信號的情況下,對前端濾波器,如果濾波器帶寬比較寬,那么濾波器的插損就小(對SAW不知是不是也是這樣),但帶內噪聲就增加,反之相反。那么在給定接收信號頻率范圍的情況下,應該如何來考慮濾波器的帶寬,使帶內信號以最小的插損通過?
答:應該從系統設計的角度考慮這個問題,包括頻率范圍(frequency range,sensitivity)和感度(selectivity)等。可以在插損(insertion loss)、帶寬(bandwidth)和帶外抑制(out of band rejection)之間取得折衷, 只要選擇的值符合系統需求,就可以了。
13、怎樣解決高頻LC振蕩電路的二次諧振或者多次諧振?
答:可以改善振蕩器反饋網絡的頻率選擇性,或者利用輸入匹配電路以削弱諧波。
附相關英文回答原文:
You can improve the frequency selectivity of oscillator feedback network or take advantage of the output matching circuitry to attenuate the harmonics.
14、RF端口匹配結果好壞直接影響RF鏈路的信號質量。如何最快最好地調試這些匹配電路?
答:
第一步:可以基于電路板設計使用網絡分析儀測量實際的S參數,并將其輸入到RF仿真SW中,以獲得初始的匹配網絡。
第二步:可以基于匹配網絡的仿真結果,在板上做一些進一步的優化工作。
附:相關英文回答:
Step 1: You can measure the actual S parameters using network analyser based on your board design and input it to the RF simulation SW to get the initial matching network.
step 2: Based on the simulation result of matching network you can do some further optimization work on your board.
15、在設計如wireless LAN card 的時候常會使用屏蔽罩用以屏蔽掉RF部分的輻射。這樣做會增加成本。有什么辦法可以少用甚至不用屏蔽罩?
答:可將高功率RF信號置于PCB中間層,并確保良好接地以減少散射。但是屏蔽罩仍是保證穩定發射性能的首選。
附相關英文回答原文:
You can put high power RF signal in the middle layer of PCB and make sure have good grounding to reduce the radiation,but shielding can is still the preferred way to gurantee the stable radiation performance.
16、10~30mV的有用信號:放大100~120dB后,有用信號達到峰峰值3V~~4V,但噪聲信號也達到了300mV左右,但實際要求噪聲信號在20mV以下,如何解決?(前級放大問題不明顯,矛盾不突出,關鍵到最后一級放大后,問題就出現了。)
答:首先要確保有用信號有非常好的信噪比,然后才將其輸入放大器鏈,接著計算獲得目標信號振幅和噪聲水平所需的增益與NF的大小,最后根據這些數據選擇合適的器件設計放大器鏈路。
附相關英文回答原文:
First please make sure the useful signal has very good SNR before you input it to amplifiers chain,then you can calculate how much gain and NF you need to get the targeted signal amplitude and noise level, based on this you can choose the right components to design amplifiers chain,
17、在開發WLAN的PCB Layou時候,怎樣匹配或計算線路為50ohm.?
答:50ohm匹配由PCB層疊決定。將PCB參數(層厚度、)使用RF仿真工具計算阻抗、line thickness和line width。
附相關英文回答原文:
You can calculate the impedance using RF simulation tools by setting PCB parameters like layer thickness, line thickness and line width.
18、如果線路匹配不好,怎樣在網絡分析儀下計算所匹配的元件(L ,C)?
答:如果線路不匹配,可以使用網絡分析儀測量S參數,并借助史密斯圓圖使用LC元件來補償這種不匹配。
附相關英文回答原文:
If there''s mismatching you can use network analyser to measure the S-parameters and use LC conponents to compensate the mismatch using Smith chart.
19、在射頻電路比如放大器的設計中,其管子的信號地與偏置電路的電源地是否分開為好,或者至少在同一層分開?
答:一般不需要分開信號地和電源地。
附相關英文回答原文:
Normally you don''t need to seperate the ground of power supply with the ground of amplifier。
20、不少射頻PCB布板在空域即無元件和走線的地方沒有布大面積地,這如何解釋?在微波頻段是否應不一樣?
答:可以在DC線路上加足數的小電器。
附相關英文回答原文:
you can add enough small capacitors on DC line.
手機射頻芯片廠家
Infineon

官網:http://www.infineon.com/
簡介:在無線通信業務領域,英飛凌的產品包括面向射頻連接、無繩和移動電話以及無線網絡基礎設施的芯片和芯片解決方案。 英飛凌的主要目標之一就是將各種射頻功能集成于手機芯片中,例如收發器、濾波器、開關和功率放大器等,同時采用CMOS制造工藝。
Peregrine

官網:http://www.psemi.com/
簡介:Peregrine半導體是村田公司,是高性能射頻集成電路或RFIC的領先無廠商提供商。該公司的解決方案利用了UltraCMOS®技術,這是一種獲得專利的高級絕緣體(SOI)形式,可將多個RF,模擬和數字功能設計,制造和集成到單個芯片上。主營天線開關。
TDK
官網:http://en.tdk.eu/
簡介:是世界上最大的電子元器件制造商之一,產品主要市場在通信領域、消費領域、汽車領域及工業電子領域。 旗下從事射頻模組業務的子公司:Epcos。
Murata

官網:http://www.murata.com/
簡介:村田公司是一家使用性能優異電子原料,設計、制造最先進的電子元器件及多功能高密度模塊的企業,收購Renesas的功率放大器業務。主營陶瓷電容、陶瓷濾波器、高頻零件、無線傳感器等。
Qorvo

官網:http://www.qorvo.com/
簡介:Qorvo 由RFMD 和 TriQuint合并而成。兼具 RFMD 和 TriQuint 的技術、集體經驗和智慧資源,是移動、基礎設施和國防應用領域可擴展和動態 RF 解決方案的全球領導者。
Skyworks

官網:http://www.skyworksinc.com/
簡介:思佳訊的半導體解決方案支持的領域包括汽車、航空航天與國防、計算、互聯家庭、消費電子產品、媒體、醫療、移動設備、聯網、智能能源和可佩戴設備。主營射頻及無線半導體解決方案、放大器、衰減器、檢波器、二極管、定向耦合器、前端模塊等。
Avago

官網:www.avago.org.cn
簡介:Avago (安華高科技)公司是一家設計、研發并向全球客戶廣泛提供各種模擬半導體設備的供應商,公司主要提供復合 III-V 半導體產品,收購了博通。主營無線通信、有線基礎設施、工業和汽車電子產品、消費電子和計算機外圍設備。
SmarterMicro

官網:http://www.smartermicro.com/
簡介:廣州智慧微電子公司從事微波器件和射頻模擬集成電路芯片設計、開發、銷售并提供相關技術咨詢和技術服務。核心技術團隊專長于射頻、模擬及SOC研發,創造了多項國際先進的發明專利及核心技術。
Huntersun

官網:http://www.huntersun.com.cn/
簡介:漢天下電子有限公司于2012年7月創辦,專注于射頻/模擬集成電路芯片和SOC系統集成芯片的開發,以及物聯網核心技術芯片及應用解決方案的研發和推廣。主要產品:手機終端2G/2.5G/3G/4G無線射頻前端/功放系列核心芯片和無線連接芯片。
RDA

官網:http://www.rdamicro.com/
簡介:銳迪科致力于射頻及混合信號芯片和系統芯片的設計、開發、制造、銷售并提供相關技術咨詢和技術服務。產品主要包括GSM基帶/多制式射頻收發器芯片/多制式射頻功放芯片/藍牙、無 線、調頻收音組合芯片/機頂盒調諧器/數字及模擬電視芯片/對講機收發器/衛星電視高頻頭等。
Vanchip

官網:http://www.vanchiptech.com
簡介:唯捷創芯(天津)電子技術股份有限公司2010年成立于天津濱海新區。在上海、北京、深圳、蘇州設有研發中心及辦事處。公司致力于射頻與高端模擬集成電路的研發,是集設計、測試、銷售一體化的集成電路設計公司。公司目前的主要產品是射頻功率放大器,廣泛應用于2G/3G/4G手機及其它智能移動終端。
中普微電子

官網:http://www.cuct.com.cn/
簡介:公司從事射頻IC設計、研發及銷售,產品涵蓋GSM、W-CDMA、TD-SCDMA、CDMA2000以及快速演變的TD-LTE,提供2G/3G/4G全面的射頻前端解決方案。目前公司產品以其高性價比的優勢在市場上備受歡迎,得到眾多客戶包括品牌商的肯定。CUCT的的前瞻性TD-LTE射頻功放技術突顯了CUCT能夠為全球4G市場提供成熟的射頻解決方案。
國民飛驤
簡介:2015年從國民技術分離出來。2010年開始依托國內市場開發國產射頻功率放大器和射頻開關。2011年,其NZ5081應用于宇龍酷派8180 TD-SCDMA手機,是第一個應用于智能手機的國產PA(RDA是第一個應用于國產功能機的PA)。2015年,phase 1射頻功放做進紅米2A手機。國民飛驤已經擁有了國內同行業內最完整、最齊全的4G射頻解決方案,覆蓋包括MTK、高通、展訊、聯芯、Marvell等各種平臺。
推薦閱讀:



