【導讀】混頻器是指產生的振蕩頻率為兩個輸入振蕩或信號頻譜分量中的頻率的整數倍的線性組合的非線性器件。目前混頻器已廣泛運用于雷達、電子對抗、通信、遙控遙測、廣播電視等領域,混頻器技術指標的好壞將直接影響整機性能的發揮。本期大講臺將針對混頻器,分析其原理并對相關設計實例進行講解。
第一節 混頻器簡介
混頻器作為超外差接收機的重要組成部分,已經在雷達、通信、電子對抗、廣播電視、遙控遙測等諸多領域中得到了廣泛的應用。其技術指標的好壞直接影響到整機性能的發揮。
變頻(混頻)是將高頻信號經過頻率變換,變為一個固定的頻率。這種頻率變換通常是將已調高頻信號的載波從高頻變為中頻同時必須保持其調制規律不變。具有這種功能的電路稱為混頻電路或變頻電路,亦稱為混頻器(mixer)或變頻器(convertor)。
一般用混頻器產生中頻信號:
混頻器將天線上接收到的信號與本振產生的信號混頻,cosαcosβ=[cos(α+β)+cos(α-β)]/2 可以這樣理解,α 為信號頻率量,β 為本振頻率量,產生和差頻。當混頻的頻率等于中頻時,這個信號可以通過中頻放大器,被放大后,進行峰值檢波。檢波后的信號被視頻放大器進行放大,然后顯示出來。由于本振電路的振蕩頻率隨著時間變化,因此頻譜分析儀在不同的時間接收的頻率是不同的。當本振振蕩器的頻率隨著時間進行掃描時,屏幕上就顯示出了被測信號在不同頻率上的幅度,將不同頻率上信號的幅度記錄下來,就得到了被測信號的頻譜。
混頻器的分類:
●從工作性質可分為二類,即加法混頻器和減法混頻器分別得到和頻及差頻。
●從電路元件也可分為三極管混頻器和二極管混頻器。
●從電路分有混頻器(帶有獨立震蕩器)和變頻器(不帶有獨立震蕩器)。
●混頻器和頻率混合器是有區別的。后者是把幾個頻率的信號線性的迭加在一起,不產生新的頻率。
第二節 混頻器組成框圖
一般變頻器應由四部分組成,即輸入回路、非線性器件、帶通濾波器和本機振蕩器組成,如圖 1-1 所示,本機振蕩器用來提供本振信號頻率 fL 。輸入高頻調幅波 Vs ,與本振等幅波 VL ,經過混頻后輸出中頻調幅波 Vi 。輸出的中頻調幅波與輸入的高頻調幅波的調制規律完全相同。即變頻前與變頻后的頻譜結構相同,只是中心頻率由 f s 改變為 f i ,也就是產生了頻譜搬移。但應注意,高頻已調信號的上、下邊頻搬移到中頻位置后,分別成了上、下邊頻。

第三節 混頻器工作原理
晶體管混頻器的變頻增益較高,因而在中短波接收機和測量儀器中廣泛采用。
晶體管混頻器的原理電路如圖 1-2 所示,在發射結上作用有三個電壓,即直流偏置電壓 vBB 信號電壓 uS 和本振電壓 uL 。為了減小非線性器件產生的不需要分量,一般情況下,選用本振電壓振幅u LM>>u SM ,也就是本振電壓為大信號,而輸入信號電壓為小信號。在一個大信號 uL 和一個小信號 uS 同時作用于非線性器件時,晶體管可近似看成小信號的工作點隨大信號變化而變化的線性元件,如圖 1-5 所示。t1 時刻,在偏壓 vBB 和本振電壓 uL 的共同作用下,它的工作點在 A 點,此時 us 較小。因此,對 us 而言,晶體管可以被近似看成工作于線性狀態。在另一時刻 t2 ,對于 uS 而言,由于偏壓和本振電壓的作用,工作點移到 B 點,這時對 us 仍可看成工作于線性狀態。雖然兩個時刻均工作于線性狀態,但工作點不同,這兩個時刻的線性參數就不一樣。因為 us 的工作點隨 uL 的變化而變化,所以線性參量也就隨著 uL 變化而變化,可見線性參量是隨時間變化的,這種隨時間變化的參量稱為時變參量。這樣的電路稱為線性時變電路。應當注意,雖然這種線性時變電路是由非線性器件組成。但對于小信號 us 來說,它工作于線性狀態,因此,當有多個小信號同時作用于此種電路的輸入端時,可以應用疊加原理。


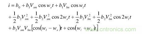
以下是以共發射極注入式為例分析晶體三極管混頻器工作原理。設輸入信號

由上式可知,當兩個不同頻率的高頻電壓作用于非線性器件時,電流中不僅含有基波(Wl,Ws)成分,同時由于平方項的存在,還產生了許多新的頻率成分(即直流分量,二次諧波,和頻與差頻)。其中差頻分量 Wl-Ws 為所需的中頻成分 Wi 通過濾波網絡,就能選出中頻成分,即完成混頻。
第四節 三極管混頻器的工作波形及頻譜圖
混頻器將接收到的高頻載波信號與本振產生的信號混頻,接收到高頻載波信號的頻率為 fs ,幅度位 Uam (t) ,本振電路產生的頻率為 fl ,當經過混頻后變成一固定中頻 fi=fs-fl 。通過示波器觀察可得出混頻前后的工作波形和通過頻譜分析儀我們同樣可以得到其變頻前后的頻譜變化,如下圖所示:

如何用高輸入IP3混頻器實現VHF接收器設計
http://www.szzhuce.cn/rf-art/80020992
如何消除電變頻器對其他設備的干擾
http://www.szzhuce.cn/emc-art/80020629
RF混頻器及其在3G無線基站接收器中的應用
http://www.szzhuce.cn/rf-art/80000697


