接第二講:圖4中,當電源開關管Q1導通時,設輸入電壓為U,流過Ls的電流為
,流過Cs的電流為
,流過
的電流為
,流過R的電流為
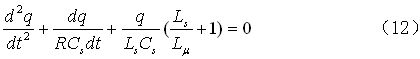
,Cs存儲的電荷為q,如果忽略Lds的作用,則列出回路方程為:

由于
;其中, 為Cs兩端的電壓。對電流進行微分即可得到:

把(10)代入(9)式可得:

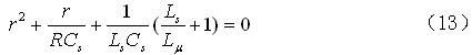
(11)是一個非齊次二階微分方程。我們知道,非齊次二階微分方程的解等于其齊次微分方程的解與非齊次二階微分方程特解的和,其齊次微分方程為:

(12)式表示,電容Cs充滿電后,輸入電壓等于0時電容兩端電壓或存儲電荷隨時間變化的過程。對(12)式求解,需要先求解其特征方程,其特征方程為:

由此求得其特征方程的解為:

如果我們直接用(14)式來求解(10)式,結果將會變得非常復雜。由于,
,這也是電路產生諧振的基本條件,所以(14)式可以簡化為:

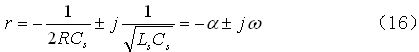
由此求得:

上式中,
為衰減指數因子,
為分布電容Cs與漏感Ls產生串聯振蕩的角頻率。
由此可以求出齊次微分方程(12)式的通解為:
![]()
上式中,
為衰減系數,它是一個隨時間變化的函數,A1 、A2 為待定系數。
前面已經指出,齊次微分方程(12)式僅表示電容Cs充滿電后,輸入電壓等于0時,電容兩端電壓或存儲電荷隨時間變化的過程,即,當t = 0時,q從最大值開始隨時間變化的過程。但齊次微分方程(12)式并不完全表示電容Cs充、放電的全過程,我們仔細觀察(17)式便知:在LC電路中,當t = 0時,如果q為最大值,電容一定是按余弦規律放電;如果q為最小值,則電容一定是按正弦規律充電。因此,我們還需要根據初始條件來對(10)非齊次微分方程式進一步求解。
當電源開關管Q1導通時,輸入電壓才開始對電容Cs充電,Cs電容兩端的電壓不可能被充滿電;因此,當 t = 0時,電容Cs兩端的電壓等于0,由此可知,(17)式中的 A1=0,因此,(17)式可以改寫為:
![]()
另外,非齊次微分方程(11)式的解應該等于齊次微分方程(12)式的通解與(11)式特解之和。為求特解,我們先來觀察(11)和(12)式,分析它們之間的特征,然后用代入法來求解。
設(11)式的特征解為:
,則求得,
;把結果代入(11)式,即可求得(11)式的特解為:

或

[page]
上式中的電壓
實際上就是電容Cs兩端電壓的半波平均值Upa。它等于輸入電壓U在漏感
與勵磁電感 組成的串聯電路中勵磁電感
兩端的分壓的半波平均值。由于漏感
與勵磁電感
相比非常小,因此,可以把
看成與輸入電壓U基本相等。
因此,非齊次微分方程(11)式的解為:

上式中,A為待定系數,為正弦波的振幅,
為一個小于1的隨時間減小的衰減系數。由于
等于電容Cs兩端電壓的半波平均值Upa,因此A的最大振幅就是
,即:A=
,由此可以求得(11)式微分方程的解為:

(21)式是當電源開關管Q1導通時,分布電容Cs兩端電壓隨時間變化的表達式,它由兩部分電壓組成,一部分是電容Cs兩端電壓的半波平均值
,由(19)式表示;另一部分是正弦阻尼振蕩,其最大振幅等于
,
是一個小于1的衰減系數,其中,
為衰減指數因子。
由(21)式可以看出,等效負載電阻R的值和分布電容Cs的值越大,衰減指數因子的值就越小,而衰減系數的值就越接近1。
對于一個功率大約為100瓦的開關變壓器,其初級線圈的分布電容大約在100~2000微微法之間,如果把次級線圈的分別電容也考慮進去,總的分布電容可能要大一倍。假設開關變壓器初級線圈的等效分布電容Cs為1000P,漏感ls為30uH,根據(16)式可求得振蕩頻率約等于900kHz。此振蕩波形會迭加到變壓器次級線圈的輸出電壓之中,使輸出脈沖波形的前后沿產生嚴重失真,即:脈沖電壓的前沿上升率降低,并產生過沖或振鈴,脈沖電壓的后沿產生過沖或振鈴;當負載較輕時,振鈴振幅很強,會造成很強的EMI輻射干擾。
圖6-b是當電源開關管Q1導通到關斷時,分布電容Cs兩端電壓的波形。在圖6-b中,當電源開關管Q1導通的瞬間,即t = t0~t1時刻,輸入電壓由0突然上升到U,但由于分布電感Ls的存在,分布電容Cs兩端的電壓
并不能像輸入電壓(方波)那樣,由0突然升到U,因為電壓的上升率不但要受到分布電感Ls的限制,同時也要受到電源開關管導通速度的限制,即:分布電容Cs開始被輸入電壓U充電時,其兩端電壓uc的上升率除了受到L、R、C等元件的時間常數影響外,還要受到電源開關管導通速度的影響。
另外,LC諧振電路的振蕩幅度對于正激式開關電源和反激式開關電源是不同的。對于正激式開關電源,當電源開關管Q1導通的時候,開關變壓器要向負載輸出能量,其等效負載電阻R的值相對比較小,衰減系數相對也比較小,因此,LC振蕩被阻尼就比較厲害,振蕩幅度下降就比較快。一般當第一個振蕩周期過后,LC回路就很難再振蕩起來。
對于反激式開關電源,當電源開關管Q1導通的時候,開關變壓器只是存儲能量,沒有能量輸出,因此,等效負載電阻R的值相對比較大,衰減系數相對比較大(約等于1);此時,LC振蕩的波形與等幅振蕩的波形比較接近,其最大振蕩幅度Um約等于分布電容Cs兩端電壓的半波平均值,即:分布電容Cs兩端電壓的峰值電壓Up約等于輸入電壓U的2倍。請參考圖6-b。
我們從(21)式以及圖3和圖4可以看出:當電源開關管Q1導通時,分布電容Cs兩端電壓(也是勵磁電感lv兩端的電壓),由一個最大振幅約等于輸入電壓U的正弦振蕩電壓與一個分布電容Cs兩端電壓的半波平均值
迭加。
當電源開關管Q1關斷瞬間,即t = t10~t11時刻,開關變壓器初級線圈的電流回路突然被切斷,原來存儲于ls、Cs、lv中的能量,只能通過等效負載R和電源開關管的內阻(分布電容Cds)進行充電來釋放。
由于圖3等效電路中的各元器件參數,在電源開關管導通期間(圖4)和關斷期間(圖5)都不一樣,因此,(21)式的計算結果只適用于開關管導通期間分布電容Cs兩端電壓,或通過(21)式求流漏感的電流。而當電源開關管Q1關斷時,由于開關變壓器次級線圈整流濾波電路被接通(反激式開關電源),等效負載電阻R突然會變小,此時,LC振蕩主要在漏感和電源開關管的分布電容Cds組成的充放電回路中進行。
由于Cds為開關管內部的擴散電容,屬于電阻性質,當開關管完全關斷之后,阻值為無限大,漏感產生的反電動勢只會對Cds進行充電(通過開關管的內阻釋放能量),而Cds不會對漏感進行反充電;因此,當漏感儲存的能量釋放完后,其后續振蕩過程也不會再發生。
當開關管完全關斷時(圖5),加于分布電容Cds兩端的電壓,正好是輸入電壓U與漏感產生的反電動勢電壓
和勵磁電感
產生的反電動勢電壓
三者之和。因此,當開關管關斷時,在開關管的D、S極之間會產生很高的尖峰脈沖電壓。為了防止尖峰脈沖把開關管的漏極與源極擊穿,在實際應用中,一般都要對開關管采取過壓保護措施。




