中心議題:
- 高頻變壓器中傳導EMI 產生機理
- 變壓器中共模傳導EMI 數學模型
- 屏蔽繞組抑制共模傳導EMI 原理
0 引言
電磁兼容( Electromagnetic Compatibility,EMC)是指電子設備或系統在電磁環境下能正常工作,且不對該環境中任何事物構成不能承受的電磁騷擾的能力。它包括電磁干擾(EMI)和電磁敏感(EMS) 兩方面。由于開關電源中存在很高的di /dt 和du /dt,因此,所有拓撲形式的開關電源都有電磁干擾的問題。目前克服電磁干擾的技術手段主要有:在電源的輸入、輸出端設置無源或有源濾波器,設置屏蔽外殼并接地,采用軟開關技術和變頻控制技術等。
開關電源中,EMI 產生的根本原因在于存在著電流、電壓的高頻急劇變化,其通過導線的傳導,以及電感、電容的耦合形成傳導EMI。同而電流、電壓的變化必定伴有磁場、電場的變化,因此,導致了輻射EMI。本文以反激式開關電源為例,在分析其高頻變壓器形成共模傳導EMI 機理的基礎上,探討了在變壓器設計中設置屏蔽層以抑制共模傳導EMI 的原理。給出了具體的設計方法,并應用于具體產品的設計中。試驗測試表明,屏蔽層的設置可以有效地抑制高頻開關電源的共模傳導EMI。由此進一步研究了屏蔽層在其他類型開關電源中應用的可行性。
1 高頻變壓器中傳導EMI 產生機理
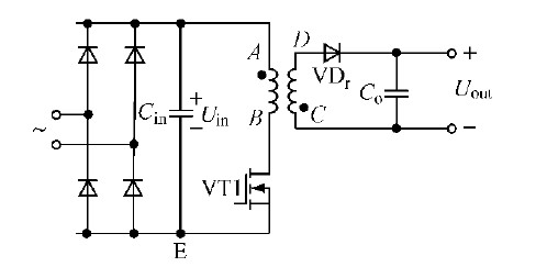
以反激式變換器為例,其主電路如圖1 所示。開關管開通后,變壓器一次側電流逐漸增加,磁芯儲能也隨之增加。當開關管關斷后,二次側整流二極管導通,變壓器儲能被耦合到二次側,給負載供電。

圖1 反激變換器
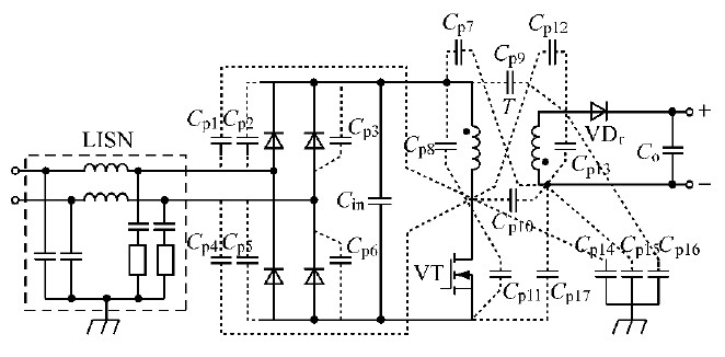
在開關電源中,輸入整流后的電流為尖脈沖電流,開關開通和關斷時變換器中電壓、電流變化率很高,這些波形中含有豐富的高頻諧波。另外,在主開關管開關過程和整流二極管反向恢復過程中,電路的寄生電感、電容會發生高頻振蕩,以上這些都是電磁干擾的來源。開關電源中存在大量的分布電容,這些分布電容給電磁干擾的傳遞提供了通路,如圖2 所示。圖2 中,LISN 為線性阻抗穩定網絡,用于線路傳導干擾的測量。干擾信號通過導線、寄生電容等傳遞到變換器的輸入、輸出端,形成了傳導干擾。變壓器的各繞組之間也存在著大量的寄生電容,如圖3 所示。圖3 中,A、B、C、D 4 點與圖1 中標識的4點相對應。

圖2 反激式開關電源寄生電容典型的分布[page]

圖3 變壓器中寄生電容的分布
在圖1 所示的反激式開關電源中,變換器工作于連續模式時,開關管VT 導通后,B 點電位低于A 點,一次繞組匝間電容便會充電,充電電流由A 流向B;VT 關斷后,寄生電容反向充電,充電電流由B 流向A。這樣,變壓器中便產生了差模傳導EMI。同時,電源元器件與大地之間的電位差也會產生高頻變化。由于元器件與大地、機殼之間存在著分布電容,便產生了在輸入端與大地、機殼所構成回路之間流動的共模傳導EMI 電流。
具體到變壓器中,一次繞組與二次繞組之間的電位差也會產生高頻變化,通過寄生電容的耦合,從而產生了在一次側與二次側之間流動的共模傳導EMI 電流。交流等效回路及簡化等效回路如圖4所示。圖4 中:ZLISN為線性阻抗穩定網絡的等效阻抗;CP為變壓器一次繞組與二次繞組間的寄生電容;ZG為大地不同點間的等效阻抗;CSG為輸出回路與地間的等效電容;Z 為變壓器以外回路的等效阻抗。

圖4 變壓器中共模傳導EMI 的流通回路
2 變壓器中共模傳導EMI 數學模型
以圖3 所示的變壓器為例,最上層一次繞組與二次繞組間的寄生電容最大,是產生共模傳導EMI 的主要原因,故以下主要分析這兩層間分布電容對共模傳導EMI 的影響,忽略變壓器其他繞組對共模傳導EMI 的影響。
設一次繞組有3 層,每層m 匝,二次繞組僅一層,為n 匝。當變壓器磁芯中的磁通發生變化,便會同時在一次側和次級產生感應電動勢。根據疊加定理,可認為這是僅一次繞組有感應電動勢、二次繞組電動勢為零和僅二次繞組有感應電動勢、一次繞組電動勢為零兩種情況的疊加。僅一次繞組有感應電動勢、二次繞組電動勢為零的情況如圖5 所示。圖5 中:e1為每匝一次繞組的感應電動勢;C1x為一匝最外層一次繞組與二次繞組間的寄生電容。

圖5 僅一次繞組有感應電動勢的情況[page]
在此情況下,由一次側流向次級的共模電流為:

在僅二次繞組有感應電動勢、一次繞組電動勢為零的情況如圖6 所示。圖6 中:e2為每匝二次繞組的感應電動勢;C2x為一匝二次繞組與一次繞組最外層間的寄生電容。

圖6 僅二次繞組有感應電動勢的情況
在此情況下,由次級流向一次側的共模電流為:
[page]
根據疊加原理,可得在一次側最外層繞組和次級間流動的共模電流:
![]()
3 屏蔽繞組抑制共模傳導EMI 原理
根據圖3 所示的結構。繞制變壓器,并在交流整流濾波后增設13 mH 差模濾波電感和6. 8差模濾波電容,對開關電源進行傳導EMI 測試,結果如圖6 所示。由圖6 可見,傳導EMI 非常嚴重,不能通過電磁干擾測試。在交流整流前增設35 mH 共模濾波電感,傳導EMI 測試結果如圖7 所示,產品即可通過測試。比較測試結果可得出:在圖3 所示的電路中,主要是由于大量共模傳導EMI,才使電源不能通過電磁干擾測試。

圖7 變壓器內部不設置屏蔽的傳導EMI 測試結果
去掉共模濾波電感,在變壓器中增設一次側屏蔽繞組如圖8 所示,并將E 與A 點(電容Cin正極)相連。此時,一次側屏蔽繞組代替了原一次繞組的最外層,假設一次側屏蔽繞組與二次繞組間的寄生電容與原變壓器一次側最外層繞組與二次繞組的寄生電容相同,則:


圖8 變壓器內部不設置屏蔽在電路中增設共模濾波電感的傳導EMI 測試結果[page]
由式(4) 可知:在電路工作情況不變的狀況下,共模電流i1的第一項減小為原來的1 /(2m +1),故傳導EMI 減小了,測試結果如圖9 所示。

圖9 變壓器內部增設一次側屏蔽繞組
由于在共模傳導EMI 的模型中輸入濾波電容Cin是短路的,因此,若將E 與電容Cin負極相連,屏蔽繞組對傳導EMI 的抑制效果與E 點、A 點相連的情況是一致的,測試結果如圖10 和圖11 所示。

圖10 變壓器內部設置一次側屏蔽繞組并將出線與輸入濾波電容正極相連的傳導EMI 測試結果

圖11 變壓器內部設置一次側屏蔽繞組并將出線與輸入濾波電容負極相連的傳導EMI 測試結果
在變壓器內部再增設次級屏蔽繞組如圖12所示,并將E 點與A 點相連,將F 點與C 點相連,此時,一次側屏蔽繞組與次級屏蔽繞組的感應電動勢和寄生電容分布情況是基本一致的,近似有:
[page]

圖12 變壓器內部設置一次側屏蔽繞組和次級屏蔽繞組
式(5)中:Cx為一側屏蔽繞組與另一屏蔽繞組間的寄生電容值。結合式(3) 可知,通過兩屏蔽繞組耦合的共模電流近似為零,但一次側與次級屏蔽繞組不可能完全一致,因此,屏蔽繞組之間仍會有共模干擾電流,但得到了極大的衰減,測試結果如圖13 所示。

圖13 變壓器內部設置2 層屏蔽繞組的傳導EMI 測試結果
如果將2 層屏蔽繞組換為2 層屏蔽銅箔,由于兩層屏蔽銅箔感應電動勢和寄生電容分布的分布更為相似,因此,對共模傳導電流就有更好的抑制效果,測試結果如圖14 所示。

圖14 變壓器內部設置兩層屏蔽銅箔的傳導EMI 測試結果
理論及試驗結果均表明:在變壓器中增加屏蔽層,可以對共模傳導EMI 起抑制作用,尤以兩層銅箔的屏蔽效果最好。具體設計中,可根據電源共模傳導EMI 的嚴重程度來選擇相應的屏蔽措施。
由于各類變換器中產生共模傳導EMI 的機理是相同的,所以,上述共模傳導干擾的模型和屏蔽層的設計方法同樣適用于其他拓撲。
4 結語
由于開關電源輸入、輸出側與大地之間存在著電位差的高頻變化,是造成共模EMI 的根本原因。理論分析和試驗結果表明,在一次繞組與二次繞組之間設置屏蔽繞組或屏蔽銅箔,可以抑制一次側與次級之間的共模電流,減少共模傳導EMI。




