在測試變壓器鐵芯導磁率的時候,一般都是通過測試變壓器線圈電感量的方法來測試變壓器鐵芯的導磁率;這種測試方法實際上就是測試電感線圈的交流阻抗;然而用來代表介質屬性的導磁率并不是一個常數,而是一個非線性函數,它不但與介質以及磁場強度有關,而且與溫度還有關。
我們在前面(2-11)式和(2-12)式中,已經介紹過脈沖變壓器的脈沖導磁率和開關變壓器平均導磁率的概念。脈沖變壓器的脈沖導磁率
由下式表示:

(2-11)式中,
稱為脈沖靜態磁化系數,或脈沖變壓器的脈沖導磁率;
為脈沖變壓器鐵芯中的磁通密度增量;
為脈沖變壓器鐵芯中的磁場強度增量。(2-12)式中,
為開關變壓器的平均導磁率;
為開關變壓器鐵芯中的平均磁通密度增量;
為開關變壓器鐵芯中的平均磁場強度增量。
在一定程度上來說,開關變壓器也屬于脈沖變壓器,因為它們輸入的都是電壓脈沖;但一般脈沖變壓器輸入脈沖電壓的幅度以及寬度基本上都是固定的,并且是單極性電壓脈沖,其磁滯回線的面積相對來說很小,因此,變壓器的脈沖導磁率
幾乎可以看成是一個常數。
而開關變壓器輸入脈沖電壓的幅度以及寬度一般都不是固定的,其磁滯回線的面積相對來說變化比較大,鐵芯導磁率的變化范圍也比較大,特別是雙激式開關變壓器,因此,只能用平均導磁率
的概念來描述。
如果不是特別強調脈沖變壓器輸入電壓為單極性脈沖電壓,并且輸入脈沖電壓的幅度以及寬度基本上都是固定的;那么,利用(2-11)式來計算開關變壓器平均導磁率也未嘗不可;因為,人們在測量開關變壓器平均導磁率
的時候,不可能用很多不同幅度和寬度的脈沖電壓,分別對開關變壓器逐一進行測試,然后再把測試結果取平均值。
我們可以試想,如果在眾多用來測試的不同幅度和寬度的電壓脈沖之中,我們只選出其中一組,其幅度和寬度都是在這些測試電壓脈沖之中比較偏中的,那么,用(2-11)式的測試結果來代替(2-12)式的結果,實際上不會有很大的區別。
這樣,反而使得對變壓器平均導磁率的測量變得簡單。因此,我們在對開關變壓器平均導磁率進行測試的時候,同樣可以用(2-11)式來測量,不過我們必須選用比較適當的測試脈沖電壓幅度與寬度。
根據這個想法,開關變壓器平均導磁率的測量方法與脈沖變壓器脈沖導磁率的測量方法基本一樣。開關變壓器平均導磁率的測量可在測量變壓器鐵芯的磁滯損耗和渦流損耗的同時順便測得。
根據磁場強度的安培環路定律:磁場強度沿任何閉合回路
的線積分,等于穿過該環路所有電流強度代數和。或者磁路的克希霍夫定律:在磁場回路中,任一繞行方向上磁通勢NI(N為線圈匝數,I為電流強度)的代數和恒等于磁壓降
(
為磁場強度,
為磁路中磁場強度為
的平均長度)的代數和。
亦可解釋為:磁場強度的平均值與任何閉合回路平均長度
的乘積,等于穿過該環路所有電流強度的代數和。這個定律在前面(2-32)式和(2-72)式中都已使用過,這里再重復一次,即:

(2-90)式中,
為變壓器鐵芯中的磁場強度增量,N為變壓器初級線圈的匝數,
為流過變壓器初級線圈勵磁電流的增量。
從圖2-26或圖2-28中可以看出,(2-90)式中的
就是勵磁電流的最大值
。另外再根據電磁感應定理中輸入電壓與磁通和磁通變化率,以及磁通與磁通密度等關系,即可求得:
[page]
(2-91)式中,
為開關變壓器的平均導磁率;
為脈沖變壓器的脈沖導磁率,或脈沖靜態磁化系數;
為在某測試脈沖電壓幅度和寬度的條件下,開關變壓器鐵芯中的磁通密度增量;
為在某測試脈沖電壓幅度和寬度的條件下,開關變壓器鐵芯中的磁場強度增量;
U為輸入脈沖電壓的幅度;S為變壓器鐵芯的截面積;N為開關變壓器初級線圈的匝數;
為開關變壓器鐵芯磁回路的平均長度;
為流過開關變壓器初級線圈勵磁電流的最大值;τ為電壓脈沖的寬度。
有效導磁率
前面已經指出過,用來代表介質屬性的導磁率并不是一個常數,而是一個非線性函數,它不但與介質以及磁場強度有關,而且與溫度還有關。因此,導磁率所定義的并不是一個簡單的系數,而是人們正在利用它來掩蓋住人類至今還沒有完全揭示的,磁場強度與電磁感應強度之間的內在關系。
前面我們比較詳細地介紹了平均導磁率
和脈沖導磁率
的概念,以后我們還會碰到初始導磁率
、最大導磁率
、相對導磁率
(鐵磁材料導磁率與真空導磁率之比,
)和有效導磁率
等概念,這些,都是人們在不同的使用場合,對鐵磁材料的導磁率進行不同的定義,以使分析計算簡單。
初始導磁率
和最大導磁率
以及相對導磁率
一般比較容易理解,這里不準備再對它們做詳細介紹,下面重點介紹一下有效導磁率
的概念。
很多人在測試變壓器鐵芯導磁率的時候,都是通過測試變壓器線圈電感量的方法來測試變壓器鐵芯的導磁率;這種測試方法實際上就是測試電感線圈的交流阻抗,然后把阻抗換算成線圈的電感量,最后再根據(2-67)式求出變壓器鐵芯的導磁率。


變壓器鐵芯產生渦流損耗的因素包含在其中。
[page]
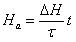
因為,如果沒有渦流損耗,變壓器鐵芯中的磁場強度基本上只達到圖2-19-a或圖2-22-a中的平均值Ha,
;由于渦流損耗,勵磁電流必須額外提供一部分電流來抵消渦流產生的磁場的作用;在變壓器鐵芯的中心,渦流產生的磁場強度最高,
因此,勵磁電流產生的磁場是不足以補償渦流產生的負磁場的(磁場強度低于平均值Ha);而在鐵芯邊沿,渦流產生的磁場強度最低,勵磁電流產生的磁場不但可以抵消渦流產生的磁場,并且還抵消過了頭(磁場強度高于平均值Ha);因此,在鐵芯邊沿,渦流產生的磁場強度幾乎等于0,但這時,勵磁電流還是要對渦流進行補償;即:產生磁場強度
的勵磁電流已經把變壓器鐵芯產生渦流損耗的因素包含在其中。



圖2-29-a中,Le是一個同時考慮渦流損耗因素的電感;L是變壓器原初級線圈的電感;Rb是鐵芯渦流損耗電阻;Lb是一個互感線圈,通過它把流過電阻Rb的電流感應到變壓器初級線圈中;當流過電阻Rb的電流增加時,流過通過Lb互感線圈的感應作用,使流過變壓器初級線圈L的電流也同時增加。
由于開關變壓器的鐵芯大部分都是選用鐵氧體軟磁材料,鐵氧體變壓器鐵芯在常溫下,雖然電阻率很大,但當溫度升高時,電阻率會急速下降;相當于圖2-29-b中的Rb渦流等效電阻減小,流過Rb的電流增加;當溫度升高到某個極限值時,變壓器初級線圈的有效電感量幾乎下降到0,相當于有效導磁率也下降到0,或變壓器初、次級線圈被短路,此時的溫度稱為居里溫度,用Tc表示。因此,鐵氧體的電阻率和導磁率都是不穩定的,鐵氧體開關變壓器的工作溫度不能很高,一般不要超過120 攝氏度。


