中心議題:
- 設計脈寬調制型高壓逆變電源
- 介紹逆變電源主回路、PWM控制電路及過流保護回路
- 實驗并得出結論
解決方案:
- 升壓變壓器工作于高頻脈沖狀態,減小脈沖電源體積
- 電流較大時關斷系統,避免器件的損壞
- 使用等離子體荷電噴霧技術,降低農藥的使用量,減輕對環境的污染
環境保護和可持續發展是21世紀農業發展優先考慮的問題。目前對農作物的病蟲害進行化學防治是植物保護的主要手段。但是隨著農藥使用量的增加,使病蟲害的抗藥性不斷增長,迫使農藥用量愈來愈大,由此而造成的環境污染也愈來愈嚴重。鑒于農藥危害的存在,世界各國都在進行旨在減少農藥使用量的研究。我國目前在生產第一線使用的施藥器械主要還都是二三十年前設計的產品,其中以背負手動噴霧器為主,噴霧技術落后制約著農藥效力的發揮,精密噴霧是目前國際上施藥技術上的發展趨勢。利用物理學原理開發的等離子體噴霧技術是新近發展起來的高效低污染施藥新技術。本文在傳統靜電噴灑技術的基礎上,將利用功率開關器件IGBT研制的高頻高壓逆變電源應用于噴霧技術,與靜電施藥方法相比,能夠提高霧滴的沉積量,增加霧滴的荷電性能,噴灑施藥可減少藥用量四分之一。
等離子體荷電原理
圖1所示為等離子體荷電原理圖,當在電極上施加一定的脈沖高壓時,窄脈沖電暈放電中產生的高能電子能使氣體電離成正、負離子,同時在空間電場中,由于高壓脈沖上升沿陡峭,電子可瞬間加速,而離子幾乎不加速。在這種放電等離子體中,電子溫度特別高,可形成大量的激發態分子,各種極富反應的自由基將會引發氣體分子電離。在電極附近,極性與電極極性相異的離子被電極吸附,與電極極性相同的離子受電排斥并在周圍形成離子區[1]。當藥液在泵或其他外力的作用下由噴頭霧化后形成霧滴并通過電離區與離子碰撞時,就把電荷傳給霧滴,使霧滴荷電。而霧滴又對離子產生排斥力,使充電速度下降,直至充電停止而達到飽和。

飽和帶電量:

式中,ε0、εr為空氣介電常數和液體相對介電常數,E為電場強度,d為霧滴直徑。
霧滴在高壓電場的作用下定向飛向植株并在植株上沉積,可提高農藥在植株上的沉積量。
與普通靜電噴霧相比,在脈沖放電情況下產生的電流主要由電子漂移形成,而離子漂移速度遠小于電子漂移速度,在窄脈沖期間離子電流可忽略,所以這種放電能量利用率很高。另外,在高頻高壓脈沖電源電路中,升壓變壓器工作于高頻脈沖狀態,升壓變壓器的體積極大地縮小,因而使脈沖電源體積得以減小,方便了在實際中的使用。
等離子體荷電噴霧電源的設計
脈沖放電主電路設計
脈沖電源整個電路由主電路和控制電路組成。考慮到荷電噴霧基本上都用在室外,主電路的輸入設計為可用蓄電池供電的12V直流電壓,將它加在由電容C4、C5、IGBT大功率管U1、U2和高頻變壓器組成的半橋式逆變電路。控制電路采用PWM方式。控制電路輸出二路彼此絕緣、相位差180°并有一定死區的脈沖。這兩路脈沖分別控制U1、U2的導通和關斷,使得直流電轉換為高頻脈沖。高頻脈沖經脈沖變壓器升壓后輸出高壓高頻脈沖[2-3]。電路如圖2所示。
研制的高壓窄脈沖電源改善了高壓荷電系統的性能且穩定性好。實際運行表明,電源輸出電壓峰值為0~30kV,頻率為15kHz,脈寬為500ns~800ns。脈沖供電與直流供電相比,其起暈電壓低50%以上。此種電源功率變壓器的輸入頻率大幅度提高,同時變壓器和平波電抗器體積重量大為減小,且電源輸出紋波小、響應速度快。變壓器高壓側波形如圖3所示。

PWM控制電路的設計
在以IGBT設計的逆變電源中,PWM控制電路是極其重要的組成部分,SG3525脈寬調制型控制器作為SG3524的改進型,更適合于開關器件的雙端DC-DC變換器,它的外圍電路原理圖如圖4所示,輸出波形如圖5所示。

SG3525主要功能如下:
(1)內部設置欠壓鎖定電路。當電壓從8V降至7.5V時,欠壓鎖定電路開始工作,僅用0.5V的固定滯后電壓便可消除箝位電路在閾值處的振蕩,能有效地使輸出保持關斷狀態。
(2)設置軟啟動保護,由內部50μA電流源和8腳外接電容構成軟啟動,引腳16參考電壓經可調電阻RV與8腳相連,可連續調節占空比,RV調節范圍為0~1kΩ。
(3)設置關斷保護電路,由內部元件與外部電路相結合,實現對輸出脈沖的快速關斷,當引腳10電壓超過0.7V時,芯片將進行限流操作;當引腳10電壓超過1.4V時,將關斷PWM鎖存器輸出,直到下一個時鐘周期才恢復。
(4)芯片振蕩頻率由Ct、Rd、Rt決定,頻率調節范圍從50Hz~400kHz,芯片振蕩頻率估算公式為f=1/Ct(0.7Rt+3Rd)。
應用時設計頻率調節范圍為250Hz~30kHz,由此可定Ct=0.01μF,Rd=150Ω,Rt=0~50kΩ。
過流保護電路
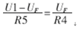
過電流保護電路的主要任務是檢測輸出電流的變化,并將其反饋到SG3525的控制端,在電流較大時可可靠關斷系統,以避免器件的損壞。其電路原理如圖6所示。圖中,電阻R1、R2對主電路的輸出進行采樣,當輸出電路中電流增大到設定值時,采樣電壓U1隨之增大,該信號經CA239反饋到SG3525的+V端,封鎖PWM脈沖。

采樣電壓U1與輸出電壓UF的關系如下:
當輸入電壓U1為正時,輸出電壓UF為:
當輸入電壓U1為負時,輸出電壓UF為:
適當選擇各電阻值,過電流時,就可以可靠地關斷控制電路[6]。
實驗結論
植株模擬測試
將模擬植株分別放在距噴頭20cm、40cm、60cm、80cm處進行測量,放電電流選用較穩定的-4μA,流速為5.259ml/s,測量時間為6分鐘,其實驗結果如表1所示。
荷質比測試
荷質比是衡量霧滴荷電性能的重要指標,荷質比越大,霧滴的荷電性能及充電效果越好,通過實驗手段可對霧滴荷電情況進行測量。不同荷電情況下荷質比測試數據如表2所示。

由表1可以看出,由于使用了等離子體荷電噴霧技術,農藥落在植株上的藥量有了明顯的增加,達到了設計要求。由表2可見,等離子體荷電與普通靜電噴霧相比,能在較小的放電電壓下得到較高的荷質比。從而降低了農藥的使用量,也減輕了對環境的污染。



