中心論題:
- 機載計算機電源的技術要求。
- 回掃式變換原理的介紹。
- 小型機載計算機電源的設計方案。
- 峰值電感電流檢測技術靈敏地限制最大輸出電流。
- 改善高頻脈沖變壓器的設計提高整個回掃式控制電路性能。
- 初級線圈的電感量設計為大于最小值消除振蕩諧波。
小體積、輕重量、高可靠性、高效率是航空電源始終追求的目標。隨著微電子技術的發展,采用大規模和超大規模集成電路的機載計算機主機已越來越小型化,這就對其電源部件的體積和重量提出了進一步小型化的要求。機載計算機是一種抗惡劣環境的計算機,其電源部件也必須滿足抗惡劣環境的要求,例如必須適應-55℃~+125℃的環境溫度和較寬范圍的輸入電壓;同時還要耐振動、耐撞擊、抗電磁干擾等。
某機載計算機電源的技術要求
某機載計算機對電源部件的技術要求見表1。

回掃式變換原理
根據該電源部件輸出電壓種類多、給定的外型尺寸小、輸入電壓變化范圍大、工作溫度范圍寬等特點,必須設計小型、高效、可靠的供電電源。為此,選擇回掃式變換電路(又稱flyback、ON-OFF型)進行設計,圖1為其典型電路結構。此電路簡潔可靠,主開關元件和變壓器利用率很高,由于采用了峰值電感電流檢測技術,可以靈敏地限制最大輸出電流,因此高頻脈沖變壓器不必設計較大的余量,特別適用于幾百瓦以下功率的電源系統中。

其基本工作原理為:當開關管Q1導通時(TON),電流流過變壓器T1的初級線圈N1,變壓器將能量以磁場的形式儲存起來,由于初、次級圈相位不同,所以當電流流過初級線圈時,次級線圈N2中沒有電流流過。當Q1截止時(TOFF),消失的磁場使初、次級線圈中電壓極性反轉,整流二極管VD導通,電流通過VD流向負載,變壓器的能量釋放,提供負載電壓、電流。控制器占空比為:
其中,VF為二極管正向壓降;VSAT為Q1飽和電壓降;VO為輸出電壓;VIN為輸入電壓。
電流臨界連續時,初級繞組電感量為:

其中,fOSC為開關頻率;POmin為輕負載時輸出功率;η為轉換效率;VINmin為最小輸入電壓;Dmax為最大占空比。
設計方案
a回掃式控制器選擇
National Semiconductor公司最新推出的LM2588系列控制器旨在實現一種能夠滿足多路供電電壓輸出而無需進行復雜設計的高集成度電源的解決方案。系統設計者使用它能很快地開發出小型、低成本、多路供電的電源系統。
LM2588采用7腳TO-220封裝,主要包括100kHz振蕩器、2.9V穩壓電路、誤差放大器、5A/65V的NPN開關管以及過流、過熱、低電壓鎖定,還包括軟啟動、邏輯關斷、邏輯控制等,內部結構如圖2所示。

b高頻脈沖變壓器設計
設計的某機載計算機DC/DC開關電源如圖3所示。

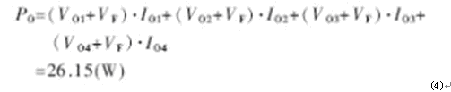
U1為控制器LM2588-5.0。脈沖變壓器T1共有五個繞組:N1為初級繞組,N2、N3、N4、N5為次級繞組,分別對應輸出+12V@0.2A、-12V@0.2A、-32.5V@0.05A以及+5V@4A,且N2、N3圈數相同。
由于回掃式控制器具有連續型和不連續型控制的特點,所以設法使其穩定就顯得很重要。高頻脈沖變壓器的設計是整個回掃式控制電路的關鍵,電源的性能和優劣在很大程度上取決于變壓器的設計。這里選擇TOKIN公司FEER28L磁芯,磁芯的有效截面積為84.7mm2,有效磁路長度為78.3mm。采用鐵氧體B25材料,常溫時最大磁感應強度Bm=5100Gs。
a確定變壓器匝比α

由VINmin=24V、VO1=5V、Dmax=0.46得出α≈0.3。
b初級繞組電感量
最大輸出功率為:

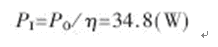
假設效率η按照85%計算,則輸入功率為:
![]()
設PWM控制最大占空比Dmax=42%,如果初級繞組的電感量設計得大,則流過功率開關管和輸出濾波電容的電流峰值小,但由于電流上升斜率小,電路抗干擾能力差且功率開關管開通電流大;電感量小時,電流脈動大,沖擊電流大。因此設計電感電流工作在連續工作狀態,輕負載時取額定功率的一半,由(2)式可知:

初級繞組的峰值電流為:
![]()
c初、次級繞組匝數
初級繞組的電感的儲能為:
初級繞組匝數

其中,BS為磁感應強度,SC為脈沖變壓器磁芯有效截面積:BS=104Gs,SC=0.847cm2。則由(6)式可知:
d磁感應強度范圍

由(7-1)、(7-2)以及(7-3)三式可知,當VIN在24V~32V之間變化時,IL的工作范圍在1.62A~4.62A之間變化。
![]()
得:B的工作范圍為620Gs~1800Gs
最高磁感應強度大約是Bm的三分之一,設計是合理的。
電流模式穩定性
當占空比大于50%時,所有電流模式控制器不可避免地要受到振蕩諧波的影響而導致不穩定。為了消除振蕩諧波,在回掃式控制器應用電路中,必須把初級線圈的電感量設計為大于最小值。其經驗計算公式如下(單位為μH):

限流、短路保護
如果電感峰值電流大于限流值,控制器內部集成的限流比較器將觸發邏輯控制電路,關斷NPN開關管的驅動輸出,起到很好的限流保護作用。
如果將輸出端直接短路,由于使用標準型號的變壓器,當輸出電壓降至正常值的80%時,開關頻率將降至25kHz。更低的開關頻率將導致開關管截止時間更長,變壓器完全可以在開關管重新導通之前釋放掉儲存的全部能量。因此,在開關管重新導通時,變壓器中為零電流,在這種情況下,開關峰值電流限制電路將限制初級電感峰值電流,很好地起到了保護控制器的作用。在短路實驗中,控制器沒有明顯的過熱現象,恢復至正常情況時,電路仍可正常工作。
邏輯關斷、頻率調整與同步
通過控制“邏輯關斷、頻率調整”引腳1可進行邏輯關斷控制。當3V以上的邏輯電平被加在引腳1上時,控制器便進入邏輯關斷狀態。因此,通過此引腳,可搭建簡單的外圍電路,構成過電壓保護電路等。
開關頻率可以通過外接電阻RSET在100kHz~200kHz之間調整,這個特點可以讓使用者根據工作頻率優化磁存儲器以及電容器的尺寸、型號等。表2為不同的電阻值對應的常用開關頻率。

控制“頻率同步”引腳6,可使控制器與系統時鐘或其它開關模式的振蕩器信號同步。這個特點使得可以并聯使用多個設備,使其工作在同一個開關頻率下,極大地消除了相關頻率噪聲干擾,使開關諧波得到控制和協調;同時獲得更多的輸出電壓值,擴大控制器的應用范圍。
損耗功率、熱關斷
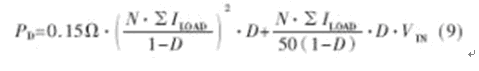
損耗功率PD主要取決于VI、多路輸出最大負載電流之和ΣILOAD以及主功率線圈比N等,其近似計算公式如下:

控制器的結溫決定于環境溫度TA、封裝熱阻θJA(7腳TO-220封裝典型值為35~45℃/W)以及損耗功率PD等,可近似計算如下:

在絕大多數應用中,控制器并不需要使用散熱片來降低溫度,但當控制器溫度超過其最大結溫時(典型值為150℃),控制器便進入熱關斷狀態,迫使控制器停止工作,直到冷卻至允許開啟的溫度時才重新工作。也可加裝散熱片來提高控制器結溫,使控制器正常工作。
應用效果
為了給控制器提供穩定、連續的供電電壓,將大于100μF的存儲電容接至供電輸入端。將一個1.0μF的陶瓷旁路電容接在地與輸入端之間,且盡可能靠近控制器,或連成RC低通濾波器,能有效地消除由輸入電流脈沖產生的噪聲干擾。為了獲得更好的濾波效果,也可用參數為10μH/200mA的小電感代替電阻。輸出電容則選擇大容量、低等效串聯電阻(<0.1Ω)的電容,可大大提高負載瞬態響應特性,降低輸出電壓紋波。為滿足電磁兼容性要求,可在電壓輸入端采用TVS瞬變電壓吸收二極管(1.5KE43A)和小型的抗干擾濾波器。
電源主要技術指標為:輸入電壓27V(18V~36V)。開關頻率100kHz。輸出電壓分A、B、C、D四組:A組+5V@4A,峰-峰值電壓紋波小于40mV;B組+12V@0.2A,峰-峰值電壓紋波小于50mV;C組-12V@0.2A,峰-峰值電壓紋波小于50mV;D組32.5V@0.05A,峰-峰值電壓紋波小于200mV,效率(滿載)為87.1%。
該電源部件中的所有元器件組裝在362mm×160mm的板面里,元器件最大高度低于15mm,重量僅為0.21kg。電源經過各項性能測試和高低溫實驗,并通過與計算機聯試,證明其各項性能指標均達到設計要求。
回掃式拓撲電路結構無疑是目前比較理想的多路供電電源電路結構。其峰值電感電流可檢測、輸出電壓擴展性強等特點,極大地提高了控制電路的穩定性和抗干擾能力,便于供電電源的設計。
本文所介紹的開關電源電路可廣泛應用于便攜式儀器、通信設備、航空機載電子設備等需要±5V、±12V、±24V等多路電壓輸出,功率在幾十瓦左右的直流供電設備中,也可以作為模塊化電源設計電路,具有很大的推廣應用價值。




