【導讀】對于汽車本身而言,其轉向系統作為整車的一個重要組成,是影響汽車操控穩定、舒適及行駛安全的關鍵所在之一。除了擁有扎實的底盤,出色的發動機性能,能夠良好地進行動力分配的變速器,以及本身的自重和其所配備的主動安全系統外,擁有一個轉向精準、力度適中、回饋良好的轉向系統也是重中之重。此時,EPS電動助力轉向系統可謂是舉足輕重。
1、綜述
電動助力轉向系統EPS(electricpowersteering)是一種直接依靠電機提供輔助扭矩的動力轉向系統,與傳統的液壓助力轉向系統HPS(hydraulicpowersteering)相比,EPS系統具有很多優點:僅在需要轉向時才啟動電機產生助力,能減少發動機燃油消耗;能在各種行駛工況下提供最佳助力,減小由路面不平所引起電動機的輸出轉矩通過傳動裝置的作用而助力向系的擾動,改善汽車的轉向特性,提高汽車的主動安全性;沒有液壓回路,調整和檢測更容易,裝配自動化程度更高,且可通過設置不同的程序,快速與不同車型匹配,縮短生產和開發周期;不存在漏油問題,減小對環境的污染。
EPS系統是未來動力轉向系統的一個發展趨勢。

圖1 EPS結構圖
如圖1所示,EPS主要由扭矩傳感器、車速傳感器、電動機、減速機構和電子控制單元(ECU)等組成。通過傳感器探測司機在轉向操作時方向盤產生的扭矩或轉角的大小和方向,并將所需信息轉化成數字信號輸入控制單元,再由控制單元對這些信號進行運算后得到一個與行駛工況相適應的力矩,最后發出指令驅動電動機工作,電動機的輸出轉矩通過傳動裝置的作用而助力。因此扭矩傳感器是EPS系統中最重要的器件之一。扭矩傳感器的種類有很多,主要有電位計式扭矩傳感器、金屬電阻應變片的扭矩傳感器、非接觸式扭矩傳感器等,隨技術的進步將會有精度更高、成本更低的傳感器出現。
2、電位計式扭矩傳感器
電位計式扭矩傳感器主要可以分為旋臂式、雙級行星齒輪式、扭桿式。其中扭桿式測量結構簡單、可靠性能相對比較高,在早期應用比較多。
2.1EPS中扭桿式扭矩傳感器的結構、原理
扭桿式扭矩傳感器主要由扭桿彈簧、轉角-位移變換器、電位計組成。扭桿彈簧主要作用是檢測司機作用在方向盤上的扭矩,并將其轉化成相應的轉角值。轉角-位移變換器是一對螺旋機構,將扭桿彈簧兩端的相對轉角轉化為滑動套的軸向位移,由剛球、螺旋槽和滑塊組成。滑塊相對于輸入軸可以在螺旋方向上移動,同時滑塊通過一個銷安裝到輸出軸上,可以相對于輸出軸在垂直方向上移動。因此,當輸入軸相對于輸出軸轉動時,滑塊按照輸入軸的旋轉方向和相對于輸出軸的旋轉量,垂直移動。當轉動方向盤的時候,鈕矩被傳遞到扭力桿,輸入軸相對于輸出軸方向出現偏差。該偏差是滑塊出現移動,這些軸方向的移動轉化為電位計的杠桿旋轉角度,滑動觸點在電阻線上的移動使電位計的電阻值隨之變化,電阻的變化通過電位計轉化為電壓。這樣扭矩信號就轉化為了電壓信號。
2.2扭桿式扭矩傳感器的設計
扭桿是整個扭桿扭矩傳感器的重要部件,因而扭桿式扭矩傳感器的設計關鍵是扭桿的設計。扭桿通過細齒形漸開線花鍵和方向盤軸連接,另外的一端通過徑向銷(直徑D)與轉向輸出軸連接,基本結構如圖2所示。

圖2 圓柱截面扭桿結構圖
扭桿細齒形漸開線花鍵端部結構外直徑
d0=(1.15~1.25)d,長度L=(0.5~0.7)d,為了避免過大的應力集中,采用過度圓角時,半徑R=(3~5)d,扭桿的有效長度為l,d為扭桿有效長度的直徑。
扭桿的扭轉剛度k是扭桿的一個重要的物理量,可以參照下面的公式計算。
當其受到扭矩T的時候,其扭轉的切應力τ和變形角φ分別為:

其扭轉剛度為:
其中d-扭桿直徑,有效長度,Ip慣性矩,Zi抗扭截面系數

圖3
如圖3為某扭矩傳感器扭桿的試驗曲線,曲線的斜率即為扭轉剛度k。
扭桿式扭矩傳感器在早期的EPS中應用比較多,但由于是接觸式的,工作時產生的摩擦使其易磨損,影響其精度,將會被逐步淘汰。
3、金屬電阻應變片的扭矩傳感器
傳感器扭矩測量采用應變電測技術。在彈性軸上粘貼應變計組成測量電橋,當彈性軸受扭矩產生微小變形后引起電橋電阻值變化,應變電橋電阻的變化轉變為電信號的變化從而實現扭矩測量。傳感器就完成如下的信息轉換:

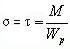
傳感器由彈性軸、測量電橋、儀器用放大器、接口電路組成。彈性軸是敏感元件,在45度和135度的方向上產生最大壓應力和拉應力,這個時候承受的主應力和剪應力相等,其計算公式為:
式中τ—主應力,此時與σ相等
Wp-軸截面極矩
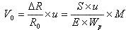
測量電橋可以采用半導體電阻應變片,并將它們接成差動全橋,其輸出電壓正比于扭轉軸所受的扭矩。應變片的電阻R1=R2=R3=R4=R0,可以得到下面的式子:
E-軸材料的彈性模量
u-電橋的供電電壓
S-電阻應變片的靈敏度系數
放大電路采用儀器用放大電路,它由專用儀器用放大電路構成,也有三只單運放電路組合而成,放大倍數為K,放大后的電壓V為:
為了使一起具有高精度,必須使靈敏度系數為常數。
在金屬電阻應變片的扭矩傳感器中,需要解決的技術關鍵是:
(1)彈性軸的工作區域不應該大于彈性區域的1/3,且取初始段。為了將遲滯誤差減低到最底,按照超載能力指數選取最大的軸徑。
(2)采用LM型硅擴散力敏全橋應變片,較好的敏感性,很小的非線形度
(3)采用高精度的穩壓電源。
4、非接觸式扭矩傳感器

圖4
如圖4所示為非接觸式扭矩傳感器的典型結構。輸入軸和輸出軸由扭桿連接起來,輸入軸上有花鍵,輸出軸上有鍵槽。當扭桿受方向盤的轉動力矩作用發生扭轉時,輸入軸上的花鍵和輸出軸上鍵槽之間的相對位置就被改變了。花鍵和鍵槽的相對位移改變量等于扭轉桿的扭轉量,使得花鍵上的磁感強度改變,磁感強度的變化,通過線圈轉化為電壓信號。信號的高頻部分由檢測電路濾波,僅有扭矩信號部分被放大。非接觸扭矩傳感器由于采用的是非接觸的工作方式,因而壽命長、可靠性高,不易受到磨損、有更小的延時、受軸的偏轉和軸向偏移的影響更小,現在已經廣泛用于轎車和輕型車中,是EPS傳感器的主流產品。
5、其它扭矩傳感器
如圖5所示為相位差傳感方式來檢測扭矩的扭矩傳感器的結構和測量原理圖,這種傳感器具有高精度,高重復性的特點。其測量原理為:在受扭軸的兩端各安上一個齒輪,對著齒面再各裝一個電磁傳感器,從傳感器上就能感應出兩個與動力軸非接觸的交流信號。取出其信號的相位差,在這兩個相位差之間,插入由晶體震蕩器產生的高精度,高穩定的時鐘信號。以這個時鐘信號為基準,巧妙運用數字信號處理技術就能精確地測出所承受的扭矩。

圖5
6、EPS扭矩傳感器的發展趨勢
隨著EPS系統的不斷完善和發展,對扭矩傳感器的精度、可靠性和響應速度提出了跟高的要求。EPS扭矩傳感器正呈現以下的發展趨勢:
(1)、測試系統向微型化!數字化、智能化、虛擬化和網絡化方向發展;
(2)、從單功能向多功能發展,包括自補償、自修正、自適應、自診斷、遠程設定、狀態組合、信息存儲和記憶;
(3)、向著小型化、集成化方向發展。傳感器的檢測部分可以通過結構的合理設計和優化來實現小型化,IC部分可以整合盡可能多的半導體部件、電阻到一個單獨的IC部件上,減少外部部件的數量。
(4)、由靜態測試向動態在線檢測方向發展。
推薦閱讀:



