【導讀】EMC 其實是伴隨著近代電子產業的飛速發展而誕生的。到上個世紀末,隨著電子、電氣設備的急劇增加。EMC 已經擴展到眾多的領域,可以毫不夸張的說:哪里有電子產品,哪里就有EMC問題。西方國家對此的要求也越來越苛刻,EMC 已成為發展中國家電子產品進入西方市場的貿易壁壘之一。
EMC的重要性
早在上個世紀八十年代初,美國新澤西州一家醫院產科病房區的嬰兒死亡率相當高。深夜,監視嬰兒的監視器上的警示燈總是無緣無故地熄滅。對此,護士們很惱火,于是她們將監視器關閉,來回逐一巡視。
經過一番初步調查后,教授查明了這件事情的真相,原來附近一電視臺的發射機得到美國通信委員會的許可,在大約午夜后可將其輸出功率提高得相當高,但必須在早上六點前,或其它指定的時間,恢復到原來的水平。護士站與每個嬰兒的監視器間的連接電纜在這些干擾頻率處發生諧振,感應的電壓而使監視器警示燈熄滅。醫院在發現這個問題之前,已有差不多六名小孩死亡。
再有一個例子:有這樣的一個客戶投訴反應,當在機房內開啟一臺開關電源時,該公司的100M速度的局域網出現速度下降并停止的現象,而10M速度的網絡卻沒有受影響。關掉電源,網絡恢復正常。
后經實驗發現,該開關電源的高頻干擾信號藕合到網絡線上,使網絡出現故障。
EMC 發展的歷史
EMC 其實是伴隨著近代電子產業的飛速發展而誕生的。到上個世紀末,隨著電子、電氣設備的急劇增加。EMC 已經擴展到眾多的領域,可以毫不夸張的說:哪里有電子產品,哪里就有EMC問題。西方國家對此的要求也越來越苛刻,EMC 已成為發展中國家電子產品進入西方市場的貿易壁壘之一。
對企業來講,不同的EMC設計概念,會導致不同的成本和時間上的浪費。

EMC的內容
●基本概念:
★EMC(電磁兼容性):Electromagnetic Compatibility
★EMI(電磁干擾):Electromagnetic Interference
★EMS(電磁抗擾性):Electromagnetic Susceptibility
★ESD(靜電):Electrostatic Discharges
★RS(輻射抗干擾):Radiated Susceptibility
★EFT(電快速瞬變脈沖群): Electronic fast transients
★SURGE(雷擊浪涌)
★CS(傳導抗干擾):Conducted Susceptibility

●EMC =EMI +EMS
★EMI = Conduction( Harmonic) +Radiation
★EMI 三要素:下為系統級的,請大家想想PCB級的。

開關電源 EMI 探討
●EMI 產生的根源:
★第一、開關電源的最大缺點是因切換動作(TURN-ON或TURN OFF)產生雜訊電壓為其雜訊源。因切換動作的波形為方波,而方波含有很多高次諧波。( dv/dt)
★第二、由于開關電晶體的非線性及二極體的反向恢復特性,電流作快速的非線性變化引起雜訊。 (di/dt)

●EMI的傳播方式和途徑:
★EMI干擾信號按其特性可分為共模信號(COMMON MODE)和差模信號(DIFFERENTIAL MODE)。
★共模信號:干擾信號電流的在兩條回路的導線上的電流方向相對大地是相同的信號,稱為共模信號,見下左圖;
★差模信號:干擾信號電流的在兩條回路的導線上的電流方向相對大地是相反的信號,稱為差模信號,見下右圖。

●常用低通濾波結構的劃分

●電源輸入濾波器的設計:
★共模差模分開設計(以π型為例)

★濾波器共模部分設計

★濾波器差模部分設計

●濾波器的安裝:


●共模電感的繞制

共模扼流圈中的負載電流產生的磁場相互抵銷,因此磁芯不會飽和。
●磁珠阻抗

注意:共模電感和磁珠 需要測量溫升!!
拓撲EMI 分析舉例

Flyback 架構EMI 分析
●Flyback架構的高頻等效模型

●Noise 源:
大的di/dt和dv/dt 產生的地方,對Flyback架構來說,會產生這些變化的主要有:
★變壓器TX1;
★MOSFET Q1 ;
★輸出二極管D1;
★芯片的RC振蕩;
★驅動信號線;

Q1 上 Vds 的波形
MOSFET 動作時產生的Noise :如 上圖所示,主要來自三個方面:
①Mosfet開通、關斷時,具有很寬的頻譜含量,開關頻率的諧波本身就是較強的干擾源。
②關斷時的振蕩 1產生較強的干擾。
③關斷時的振蕩 2產生較強的干擾。
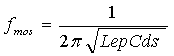
開關管 Q1關斷,副邊二極管D1導通時(帶載),原邊的勵磁電感被鉗制,原邊漏感Lep的能量通過Q1的寄生電容Cds進行放電,主放電回路為Lep—Cds—Rs—C1—Lep,此時產生振蕩振蕩的頻率為:

在Lep上的振蕩電壓Vlep迭加在2Vc1上,致使Vds=2Vc1+Vlep 。振蕩的強弱,將決定我們選取的管子的耐壓值、電路的穩定性。
量測Lep=6.1uH, Q1為2611查規格書可得Coss=190pF(Coss近似等于Cds),而此充電板為兩個管子并聯,所以Cds=380pF 。由上式可求得f =3.3 MHz,和下圖中的振蕩頻率吻合。

從圖中可看出 此振蕩是一衰減的振蕩波,其初始的振蕩峰值決定于振蕩電路的Q值:Q值越大,峰值就越大。Q值小,則峰值小。為了減小峰值,可減小變壓器的漏感Lep,加大Cds和電路的阻抗R。而加入Snubber電路是 極有效之方法。

振蕩2發生在Mosfet Q1關斷,副邊二極管由通轉向關斷,原邊勵磁電感被釋放(這時Cds被充至2Vc1),Cds和原邊線圈的雜散電容Clp為并聯狀態,再和原邊電感Lp(勵磁電感和漏感之和)發生振蕩。放電回路同振蕩1。振蕩頻率為:

在Lp上的振蕩電壓Vlp迭加在Vc1上,致使Vds=Vc1+Vlp 。量測Lp=0.4mH;Q1為2611,查規格書可得Coss=190pF(Coss近似等于Cds),而此充電板為兩個管子并聯,所以Cds=380pF;Clp在200KHz時測得為Clp=1.6nF。由上式可求得:f =178.6KHz,和下圖中190.5K吻合。

●我們可實行的改善措施有兩個:
★1、減小Noise的大小;
★2、切斷或改善傳播途徑。
1.減小Noise 的大小:
首先考慮以下三個方面:
①Mosfet、Diode動作時,具有很寬的頻譜含量,開關頻率的諧波本身就是較強的干擾源。
措施:在滿足所要求的效率、溫升條件下,我們可盡量選開關較平緩的管子。而通過調節驅動電阻也可達到這一目的。

②Q1、D1 的振蕩 1會產生較強的干擾。
措施:
*對寄生電容Cds、Cj 的處理:在Q1的ds極、二極管的兩端各并上一681小電容,來降低電路的Q 值,從而降低振蕩的振幅A,同時能降低振蕩頻率f。需注意的是:此電容的能量1/2Cu2將全部消耗在Q1上,所以管子溫升是個問題。解決的辦法是使用RC snubber, 讓能量 消耗在 R上。同時R能起到減小振幅的作用。
*對變壓器的漏感Le的處理:
1、變壓器采用 三明治 繞法,以減小漏感。
2、在變壓器的繞組上加吸收電路。
3、減小Q1 D極到變壓器的引線長度。(此引線電感和漏感相迭加)采取上述 措施降低振蕩 1的影響之后得下圖。

③: Q1 D1 上的振蕩 2 會產生較強干擾。
分析方法和②相同,但此時 電感已變得很大了(主要為為勵磁電感),因此漏感和引線電感對③的影響相對較小。
同樣從上面的分析中,可看出Nosie 的傳播途徑主要是通過變壓器的雜散電容Ctx;
Mosfet/Diode到散熱片的雜散電容Cm/Cd;及散熱片到地的雜散電容Ce等途徑而耦合到LISN被取樣電阻所俘獲。

措施一:在Rs的地端和C2的地間接一個Y電容(472)。
原理分析:它的作用是雙重的,一是為Mosfet動作產生且串到變壓器副邊的noise 電流(如I4),提供一個低阻抗的回路,減小到地的電流。二是為二次側Diode產生的且串到變壓器原邊的noise 電流提供低阻抗回路,從而減小流過LISN的電流。
其效果如下圖:紅色為:未改善之前;藍色為:采取措施之后

措施二:變壓器加法拉第銅環:
變壓器是Noise傳播的主要通道之一,其中初級線圈和次級線圈間雜散電容Ctx是重要因素。而在變壓器內部加法拉第銅環是減小Ctx 的有效的方法之一。



措施三:散熱片接Rs的地端:

目的為了將 散熱片-Ce—地-LISN這一支路 旁路掉,從而減小到地的電流。其效果如下圖:可看出,在低頻時較有效;在高頻時, 效果不明顯,這主要是因為在高頻時,管腳直接對地的電容已有相當的作用。
紅色為:散熱片未接地;藍色為:散熱片接地

當綜合上述所有措施后,EMI總效果對比如圖所示:
紅色為:未采取措施前;藍色為:綜合上述措施后

國際認證體系簡介
●歐洲地區 :
認證EMC Mark EMC
Standard 分為EMI (電磁干擾測試) & EMS (電磁相容測試) 兩部分:
★1. EMI部分為 EN55022, EN61000-3-2, EN61000-3-3;
★2. EMS部分為 EN55024 內含7項測試:
EN55022為Radiation Test & Conduction Test (傳導 & 幅射測試);
EN61000-3-2為Harmonic Test (電源諧波測試);
EN61000-3-3為Flicker Test (電壓變動測試)
EN61000-4-2為ESD Test (靜電測試);
EN61000-4-3為RS Test EN61000-4-4為EFT Test (電子快速脈衝測試);
EN61000-4-5為Surge Test (雷擊測試)
EN61000-4-6為CS Test (傳導耐受度測試);
EN61000-4-8為PFMF Test EN61000-4-11為DIP Test (電壓突降測試)
●美洲地區:
認證EEMI Mark FCC (強制性)
Standard FCC Part 15 (EMI 電磁干擾測試)
申請方式
1. Class A 自我認證
2. Class B DOC 自我認證方式
3. Class B 經由TCB認證, 取得FCC ID Number
<注> 以前ITE產品可直接送FCC認證, 取得FCC ID, 但自2000/11/15起FCC已不再認證, 授權由TCB 發ID Number, 而TCB只接受美國當地實驗室所送案件, 用意在鼓勵其他地區以DOC方式認證。
<注> 所謂自我認證, 即經由合格實驗室測試完成后發行Test Report, 申請公司取得報告后于宣告信簽名即可。
推薦閱讀:




