中心議題:
- 電纜的干擾電流
- 減小電纜電磁干擾的方法
- 減小電纜干擾電流方法測試結果分析
解決方案:
- 改變電路結構和采用濾波減小差模干擾
- 減少電容電感耦合和空間輻射減小共模干擾
在電子設備和系統中,各種電纜是信號傳輸必不可少的聯系紐帶,同時電纜又是導致各種電磁兼容(EMC)問題的主要因素。電纜造成電磁干擾(EMI)的原因主要是因為電纜上存在著干擾電流。介紹了2 種干擾電流,結合電磁兼容測試中經常出現的問題,對每種電流產生的原因進行了分析,提出了減小這些干擾電流的具體方法。通過試驗驗證了方法的可操作性,對產品設計提供參考。
1 干擾電流
設備的電源線、信號線等通信線、與其他設備或外圍設備相互交換的通信線路,至少有2 根導線,這2 根導線作為往返線路輸送電流或信號。但在這2 根導線之外通常還有第3 根導線, 即地線。線纜中存在的干擾電流分為2 種: 一種是2 根導線分別作為往返線路傳輸,稱為“差模”;另一種是2 根導線作去路,地線作返回路傳輸,這種稱為共模。
電纜上的差模干擾電流和共模干擾電流可以通過電纜直接傳導進入電子設備的電路模塊或其他設備,也可以在空間產生電磁場形成輻射干擾。
通常線路上的差模分量和共模分量是同時存在的,而且由于線路的阻抗不平衡,2 種分量在傳輸中會互相轉變。干擾在線路上經過長距離的傳輸后,差模分量的衰減要比共模分量大,因為線間阻抗與線地阻抗不同的緣故。
共模干擾的頻率一般分布在1 MHz 以上,在傳輸的同時,會向臨近空間輻射,耦合到信號電路中形成干擾,很難防范。差模干擾的頻率相對較低,不易形成空間輻射,可以采取處理措施降低其干擾。
2 減小干擾的方法
2.1 減小差模干擾
電纜上產生差模干擾電流的主要原因是電路或器件工作過程中產生的噪聲電流直接傳導到電纜中,然后再傳導至其他電路或設備使之受到影響。
這些都是不希望存在的雜波電流,消除這些電流的方法有2 種:改變電路結構或選用高電磁兼容性器件從根源上抑制噪聲的產生;采用濾波的方法阻止干擾電流進入其他設備或電路造成干擾。
電路結構的設計需要基本經驗知識的累積,電磁兼容性好的電子器件價格經常比同類產品高出很多,而且實際效果與具體使用情況有關,因此設計時通常采用濾波的方法減小差模干擾。良好的濾波能直接抑制騷擾能量在導線上的流通,所以對通過載流導線的輻射騷擾抑制也能起到明顯的抑制作用。
濾波器件有很多種,在電源部分使用的濾波器有電源濾波器、磁環和磁珠等;在信號線上使用的濾波器有信號濾波器、磁環和磁珠、穿心電容、濾波連接器等;在印刷電路板上使用的濾波器有去耦電容、片狀(表面安裝式)濾波器和磁珠等。
2.2 減小共模干擾
電纜上的共模干擾電流可以通過分布電容和互感耦合到其他電纜上, 再經由電纜影響與之相連接的器件和設備; 也可以通過空間電場輻射直接干擾其他設備。
經常采用這些方法來降低電纜對外界的共模干擾: 減小線間的電容耦合和電感耦合;實際情況允許的情況下截短電纜長度、使用屏蔽電纜及接地。
2. 2. 1 電容耦合和互感耦合
當一根導線上存在電壓或有電流流過時, 就會有電磁能量輻射出來, 到達附近的導線上, 這就是導線之間的串擾。串擾屬于近場的感應耦合, 原因是導線之間存在雜散電容和互感, 即電容耦合和互感耦合, 如圖1 所示。

圖1 電容耦合和互感耦合
[page]
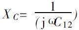
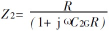
圖1(a)是電容耦合原理圖,2 個導體之間存在分布電容C12,2 根導線之間就存在電壓,也就是說電壓是串聯于受擾導線的。導體對地有單位長度分布電容C1G、C2G, 導體之間單位長度分布電容為C12, 導體之間的分布電容也稱耦合電容。不考慮C1G的情況下,干擾電源U1 在導體2 電路產生的干擾電壓U2 為:

式中:

Z2 為C2G 的容抗與R 的并聯,即:

從式( 1) 可以看出, 減小干擾電壓U2 可以通過減小Z2 和增加XC 的值來實現。具體方法如下:
①減小受擾導線對地的電阻R;
②減小分布電容C12。2 個導線平行時電容最大,而方向改為垂直時,電容最小。在一定范圍內增加導線之間的距離和減小導線的長度都可以減小導線間的電容;
③使受擾導線接近地線,或在接收導線的鄰近設置地線,從而增大C 2G的電容。
另外,將受擾導線屏蔽也可以減小導線間的電容耦合。
電感耦合原理如圖1(b)所示,當干擾回路1 中有交變電流流過時,會產生交變磁能,交變磁通穿過回路2 并在回路2 中產生感應電動勢,可表示為:

式中,M 為2個電路間的互感,M=Φ / I1(H),Φ為電流I 1 流過電路2 時在回路2 中產生的磁通,I1 為干擾回路的電流;ω為交變電流的角頻率。
從式(2)可以看出,感應電動勢主要與互感耦合相關,減小Φ 的值可以使互感耦合變弱,具體做法如下:
①減小受擾電路的回路面積。受擾電路的信號線與回線盡量靠近, 如使用雙絞線或同軸電纜;
② 磁場隨距離的增加衰減非??欤?可以增加施擾導線與受擾導線的之間的距離。也可以調整2 個回路之間的相對角度。
避免信號返回線路共享共同的路徑,也可以減少電感串擾。
2. 2. 2 空間輻射
線纜之所以會輻射電磁波,是因為電纜端口處有共模電壓存在,電纜在共模電壓的驅動下,產生共模電流,存在共模電流的電纜如同一根單極天線,產生電場輻射。
共模電場輻射可用對地電壓激勵的、長度小于1/ 4波長的短單極天線來模擬。對于接地平面上長度為L 的短單極天線來說,在遠場r 處的電場強度為:

式中,L 為天線長度(m)。
從式(3)中可以看出,共模電場輻射與頻率f 、共模電流I 及天線長度L 成正比,分別限制f、I 、L可以使共模電場輻射得到控制,而其中限制共模電流I 是減小共模輻射的基本方法。具體可采取的有效措施如下:
①盡量減小激勵此天線的源電壓,即地電位,電纜靠近接地平板走線;
②在設備內部,電纜長度盡可能短,避免環繞電路走線;
③提供與電纜串聯的高共模阻抗,使用共模扼流圈,如計算機的外連線上經常使用鐵氧體磁環;
④使用電容等器件將共模電流旁路到地;
⑤使用屏蔽電纜,并且電纜屏蔽層與屏蔽殼體作360端接。
3 測試結果分析
差模干擾測試結果如圖2 所示。圖2(a)是開關電源的工作頻率及其高頻諧波分量造成的電源線傳導發射超標,其中200 kHz 的尖峰是開關電源的工作頻率,選擇合適的電源輸入濾波器可以將這些干擾電流進行衰減,圖2(b)是使用濾波器后的效果曲線。

圖2 減小差模干擾測試曲線
[page]
減小電容耦合和互感耦合測試曲線如圖3 所示。因為電容耦合和互感耦合的存在,經常出現圖3(a)這樣的測試結果。這是因為電源線濾波器的輸入輸出線捆成一束,濾波器輸出線上的雜波電流直接通過電容和互感耦合到輸入線上,使濾波器形同虛設。解決這一問題只需將濾波器的輸入輸出線分別截短并盡可能遠離,保持一定角度,并將線固定在機箱殼體上,這樣就使得輸入線輸出線上的干擾電流不能直接耦合,電源線經過濾波器后干擾電流得到抑制。

圖3 減小電容耦合和互感耦合測試曲線
減小空間輻射測試曲線如圖4 所示。圖4(a)是一臺外接屏蔽電纜的設備的測試曲線,電纜與接口連接器相連的地方都是將屏蔽層擰成一條小辮(又稱Pigtail),然后固定到連接器的螺釘上。屏蔽電纜能控制共模輻射是因為共模電流提供了一個低阻抗通路,使共模電流通過屏蔽層流回共模電壓源。電纜屏蔽層提供的共模電流通路的阻抗由電纜本身的阻抗及電纜與金屬機箱之間的搭接阻抗2 部分組成。因為電纜與金屬機箱之間的搭接阻抗(Pigtail的阻抗)較大,這就使得屏蔽層上形成了一個較大的共模電壓,在該電壓的驅動下,電纜屏蔽層上會產生共模電流,因而屏蔽層變成了天線向外輻射。將Pigtail連接改成360 壓接在連接器的金屬外殼上,保證低阻抗搭接,測試結果如圖4(b)所示。

圖4 減小空間輻射測試曲線
4 結束語
電纜是造成設備或系統電磁兼容實驗失敗的主要因素。電纜造成的EMI 問題涉及到產品設備從設計到組裝的方方面面,包括電路板上的走線、線路板之間的電纜以及設備之間的電纜的設計、裝配和組裝,測試過程中就經常遇見電纜組裝不當引起的電磁干擾問題,這些都可以重新調整。至于電路板中走線的設計等問題必須在電磁兼容設計階段就充分考慮,否則一旦設計完成,所造成的影響就很難消除。




