中心論題:
- 電阻器的發展
- 新型環保線繞電阻器的主要特性
- 新型電阻的可靠性
解決方案:
- 新型環保型線繞電阻的引線采用鍍鎳銅材
- 基體采用A75優質硬質陶瓷材料
- 電阻絲采用進口線材
引言
隨著電子技術的迅速發展,電阻器作為電子元件中的一個基本組成部分仍在不斷發展。由于采用新技術和自動化生產,電阻器無論從生產規模和質量方面都達到了新水平。目前我國內地有300~400家企業生產電阻,電阻產量約為3 000億只,約占全球產量的30%,隨著消費電子產品、GPS模塊和數字機頂盒的需求上升,內地的電阻產業將穩步成長,產量還將進一步增長。同時在技術上不僅能做出精度高達0.001%的穩定可靠的電阻器,而且具有小體積且能適應集成電路需要的電阻網絡已經廣泛得到應用。此外,隨著市場上對產品環保意識的增強,大多數廠商都開始接受歐盟的環保規定。因此,環保型電阻就成為內地電阻廠商的研發重點,其中ISO14001認證是一個風向標。
電阻器的發展
電阻器可分為非線繞電阻器和線繞電阻器。非線繞電阻器具有良好的高頻性能,因而在高精密應用方面占有主導地位。例如薄膜式電阻、塊狀電阻等都已在家用電器、集成電路中得到廣泛應用,微型化電阻、片式電阻、電阻網絡等隨著手機、MP3、汽車產業的需求,也在不斷發展并呈增長性需求趨勢。
線繞電阻器是一種歷史悠久的品種,目前在大功率和高精密方面保持著重要地位。目前,線繞電阻器也在日新月異地發展著新型產品,例如線繞熔斷電阻器、大功率削磁線繞電阻、耐雷電沖擊線繞電阻、水冷線繞電阻等許多品種的大功率線繞電阻器,在功率上已經達到2 000 W以上。結構上已經延伸至泄放電阻箱、負載電阻柜等領域。陜西華星線繞電阻有限公司已于2002年通過了ISO14001認證,該公司還計劃通過TL16949認證。為了重點開發適應國內外需求的無污染型環保產品,該公司已設計出新型環保線繞電阻器,功率由14~200 W,結構也有2、3引線和4引線等多種。
新型環保線繞電阻器的主要特性
新型環保線繞電阻的生產過程是嚴格按照ISO9001質量管理體系和ISO14001環境管理體系的程序文件進行工藝控制的。該產品被覆層采用高溫電絕緣無機涂料進行涂覆(包封)。一般的電阻則采用有機或含有樹脂成份的涂料進行涂覆。在汽車或在大功率家電上使用該產品時,負荷功率下的電阻體發熱會導致涂料中的有毒有害氣體產生,從而對人體造成傷害或對環境產生污染。
高溫電絕緣無機涂料成份主要由硅酸鹽粉料、無機顏料、無機粘結劑和各種助劑組成,稀釋劑為水。其特點是具有較強的粘結度、可耐600℃以上高溫和800℃的熱沖擊,且具有阻燃性,其耐熱震性可達到300℃~室溫10次,而包封層不開裂,同時在高溫下應無有毒、有害物質放出。
新型環保型線繞電阻的引線采用鍍鎳銅材,基體采用A75優質硬質陶瓷材料,電阻絲采用進口線材。
新型電阻的可靠性
所謂可靠性,就是指產品在規定條件下和規定時間內完成規定功能的能力。本文將可靠性用可靠度來定量地描述??煽慷鹊亩x是產品在規定條件和規定時間內完成規定功能的概率,用R表示。產品在規定的條件下和規定的時間內喪失規定功能,即發生失效的概率稱為累積失效概率,用F表示??煽慷扰c累積失效概率之和成為必然事件的概率為1,即:

產品在一定時間內的可靠度和累積失效概率可以通過大量試驗來確定。例如取N個產品進行試驗,若在規定時間內有n個失效,則:

其中n,F,R均為時間t的函數。
這是把單位時間內失效的產品數與試驗總數之比稱為失效密度f(t),它也是時間t的函數:

其中,△n(t)是在t~t+△t時間內失效的產品數,這樣,f(t)在0~t時間內的積分應等于:

失效密度用來反映產品在全部工作時間失效的分布情況。產品工作到t時刻后,在單位時間內失效的概率稱為失效率λ(t),可用下式表示:

失效率比失效密度能更確切地反映產品出現失效的可能性,它是標志產品可靠性的常用數量特征之一。失效率越低,可靠性越高。失效率可用%/103小時作單位。對高可靠性產品可用10-9/小時作單位,稱為非特。
電阻器產品在正常條件下使用的失效可分為三種類型,即早期失效、偶然失效和耗損失效。圖1所示是電阻器失效率與時間的關系曲線。從曲線上可看出三種失效的三個階段。由于偶然失效出現在產品可靠工作的時期,研究這一時期的失效因素有重要意義。要提高產品的可靠性,必須加強產品對各種"應力"所能耐受的強度。這里所謂的"應力"是指對產品功能有影響的各種因素,如溫度、電壓電流、機械力等。

a.加速早期失效以提高可靠性
早期失效出現在產品開始工作后的較早時期,其特點是失效率高,且失效率隨時間增加迅速下降。早期失效由制造工藝缺陷、原料缺陷、設備故障、質量檢驗不嚴等因素造成。
首先,對原材料和工藝的嚴格檢驗,同時加強產品的質量管理可對工藝制造過程中導致的早期失效產品進行有效控制。
其次可采用脈沖直流功率負荷的老化篩選方法來提高產品的可靠性。在脈沖負荷情況下,由于瞬時負荷較大,功率集中在一個短時間內發生,它對電阻器的作用比連續負荷更為強烈。事實上,導電元件的瞬時過熱是最重要的。從熱的觀點看,電阻器可分為主動部分和被動部分,主動部分為電阻絲,被動部分為被加熱部分如基體、保護層和引出線等。在脈沖持續時間內,主動部分產生的熱量來不及分散到被動部分,會使主動部分迅速升溫,然后在脈沖時間內,主動部分積蓄的熱量會向被動部分傳送,從而使溫度逐漸回到一個穩定值。圖2所示是主動部分的溫度變化曲線。

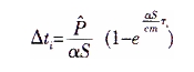
主動部分在脈沖持續時間τi內的溫升△ti可表示為:

其中:α為主動與被動部分交界處的散熱系數;S為主動部分與被動部分交界處的面積;c為主動部分的比熱;m為主動部分的質量;αS/cm為主動部分的溫度時間常數;t為室溫;t1為脈沖起始溫度;為峰值功率下的主動部分溫度:為峰值功率。
以上分析考慮了主動部分的熱容量(cm)在脈沖功率的作用下吸收熱量使自身的溫度上升的情況,實際上,由于散熱(αS)作用,這個過程符合于一個指數規律,時間常數αS/cm表明了這個指數規律的特征。
脈沖負荷時電阻器的失效機理可分為以下幾種情況:在峰值功率作用下,電阻器中導電元件瞬時過熱會造成(例如原料有缺陷、電阻絲花線、并線、間距不均勻等缺陷)電阻器斷線、阻值漂移或嚴重老化;在峰值電壓下,基體上纏繞的電阻絲電流密度過大或過熱,會造成(例如電阻絲有損壞或受機械損傷、米阻值不穩定等缺陷)電阻器阻值無窮大、阻值漂移或損壞,這種情況通常在高阻時發生;在峰值電流作用下,引線與電阻絲焊接部分的電流密度過大或過熱,會造成(例如電阻絲與引線的焊接虛焊、搭線等缺陷)電阻器斷線、阻值無窮大或電阻器損壞,這種情況通常在低阻時發生。
脈沖老練的目的一是剔除有內在缺陷的器件,二是可使電阻器的性能更加穩定。
b.降低偶然失效來提高可靠性
偶然失效可出現在整個工作期間,其特點是失效率低且近似為常數。偶然失效可看作是在某一時刻電阻器中所累積的"應力"超過了本身所能耐受的強度所造成的。線繞電阻在繞制過程中由于電阻絲比較細。當拉力較大時,容易被拉長而發生不均勻的塑性變形。當拉力小于屈服應力時,電阻絲不發生塑性變形而產生彈性變形,電阻絲中保持著拉應力,這個應力在長期使用過程中會影響阻值的穩定性,另外,緊繞的繞組受骨架熱膨脹失配的影響也較大。
采用熱老化處理可使電阻絲在繞制過程中受的應力及其它不穩定因素在熱處理過程中提前恢復,從而使阻值達到穩定。當然,熱老化溫度一般低于電阻絲被覆層或骨架材料所能耐受的最高溫度,老化時間通常為24~48小時。
圖3所示為卡瑪線在不同拉力下繞制后,在190℃溫度熱老化過程中阻值隨時間的變化曲線。拉力越大,阻值在熱老化時的變化也越大,這說明熱處理是消除應力影響的有效措施。

c.耗損失效
耗損失效一般出現在產品的使用后期,其特點是失效率隨時間的增加而上升。耗損失效主要是由于產品的老化和疲勞造成的。
結束語
新型環保線繞電阻器主要用來在低頻交流電路中發揮降壓、分流、負載、反饋、轉能、匹配等作用,或在電源電路中起到吸收器和分壓器的作用,也可用作震蕩回路和變壓器內衰減調整及脈沖形成電路中的分流器。此外,也可用于整流器中濾波級電容器的放電和消火花。同時可廣泛應用于家電、醫療設備、汽車行業、鐵路、航空、軍用設備儀器等領域。






