【導讀】雙管反激QR變換器架構很好地解決了前面提到的難題,雙管反激QR變換器可以輸出很寬的電壓范圍,通過合理的選擇變壓器匝比,可以使初級的雙開關近似工作在ZVS開通,同時高匝比的應用也使得初級的電流減小,開關損耗和導通損耗得以減少,后級同步整流管可以使用常用的120V的MOSFET,降低了整體成本。
USB PD組織發布了最新的USB PD3.1 EPR規范,最大的輸出達到48V5A, 240W的功率,使得傳統的單開關QR Flyback方案難以滿足設計指標,不管是開關管的峰值電流承受能力以及管子的電壓應力還是效率都難以滿足要求,而LLC拓撲結構雖然有著很高的效率但是又很難滿足接近十倍的輸出電壓范圍指標,如果LLC的后級再使用一級DC/DC變換器那么低壓及輕載下的效率又會因為DC/DC的低指標而變得很差甚至不能滿足COC及DOE的能效標準。
在此背景下,我們將介紹使用高頻QR控制器NCP1345設計雙管反激240W USB PD3.1 EPR方案。本文為第一部分,將重點介紹概述、變壓器匝比要求、PFC在不同的輸入電壓下的開通和關斷要求、變壓器設計等。
概述
雙管反激QR變換器架構很好地解決了前面提到的難題,雙管反激QR變換器可以輸出很寬的電壓范圍,通過合理的選擇變壓器匝比,可以使初級的雙開關近似工作在ZVS開通,同時高匝比的應用也使得初級的電流減小,開關損耗和導通損耗得以減少,后級同步整流管可以使用常用的120V的MOSFET,降低了整體成本。
雙鉗位二極管又可以把漏感的能量回饋到輸入端,消除了漏感能量損耗, 還有一個最大的優點就是相對其它軟開關控制器, QR Flyback設計調試非常簡單,對器件的要求相對較低,GaN的普及應用又能讓開關頻率提高并且低的谷底開通電壓下的損耗非常小。
NCP1345是NCP1342的下一代升級版本,對多個功能進行改善更新,提供了雙VCC端子,電壓分別為38V和150V,改進了抖頻模式來降低抖頻帶來的輸出紋波,自適應的SKIP負載點確保不同的輸出電壓下進入SKIP的負載點相同來減小紋波電壓,快速精確的初級OVP保護,初級恒流控制確保不同的輸出電壓下的OCP保護電流值相同,還有設定輸出鉗位電壓用來直接驅動GaN,可設定的自適應驅動速度來降低次級應力等功能。

變壓器匝比要求
雙管QR Flyback架構由于是雙開關串聯工作,所以可以承受很高的反射電壓N*Vo,高反射電壓能讓QR振蕩的谷底接近零電壓,可以做到近似零電壓開通,如果反射等于或大于輸入電壓那就是完全的ZVS開通,但是雙管QR Flyback拓撲結構由于雙二極管鉗位原因,要求變壓器的反射電壓N*Vo要小于最小的輸入電壓,否則反射電壓會被輸入電壓鉗位導致輸出電壓下降最終觸發OLP保護,所以最大匝比N必須要限制。
理論上,雙管反激變換器的Dmax=0.5, 實際上由于QR振鈴的存在及谷底開通增大了Toff的時間,所以實際的Dmax<0.5。
對于輸入電壓,假定最小值為Vin_min=360V。在360V和48V5A的條件下Fmin=100KHz,T=10uS,QR振鈴的頻率為1MHz, 那么對于GaN開關管,1/2*TQR=0.5uS,參考圖1Vds波形, 那么根據伏秒平衡,有下列方程:

PFC在不同的輸入電壓下的開通和關斷要求
PFC的BULK電容量的最小值一般要求為輸出功率的一半,所以BULK電容的容量選120uF,考慮到20%的容量誤差那么電容的標稱容量為150uF較為合適。
考慮到雙管反激變換器對N*Vo的要求,需要計算90VAC下的濾波的直流電壓的最低值來確定什么輸出電壓時可以關斷PFC,這樣可以確保在這個輸出電壓下BULK電容電壓的最小值大于N*Vo。
圖2是PFC停止工作下的AC輸入電壓對BULK電容電壓充放電波形,根據能量平衡得到方程(1)

圖 2. BULK電容電容充電放電波形
低壓90VAC下的最低頻率為57Hz, 所以TLINE=17.5mS,假定12V5A,15V5A下的效率為92%, BULK電容容量為120uF,那么根據方程(1),(2),(3),(4)計算得到:
VBULKmin=94V @60W的功率
根據前面估算的匝比N=6.8,
那么12V輸出變壓器反射電壓為:Vor=12V*6.8=81.6V
15V時輸出時變壓器反射電壓為:Vor=15V*6.8=102V
所以PFC必須要在12V和15V之間關斷來確保Vor要小于BULK電容電壓的最低值94V.實際應用中可以讓PD協議控制器把PFC的ON/OFF時的電壓設定在12V-12.5V左右并留有一個小的回差電壓防止PFC在ON和OFF之間來回開關, 這樣BULK電壓最小值比Vor大9V左右且留有足夠的余量。
根據上面的計算,可以把PFC ON的輸出電壓設置在12V-12.5V左右來確保PFC OFF條件下在5V-12V輸出時雙管Flyback還能可靠地工作,同時又能提高整機效率并且降低待機功耗。
變壓器設計
條件:
輸出功率Po=240W
輸出電壓Vo=48V
估算效率η=0.95
最小輸入電壓Vmin=350V(留10V余量)
變壓器匝比N=6.8, Nps=Ns/Np=0.147
同步整流管的壓降Vf=0.1V
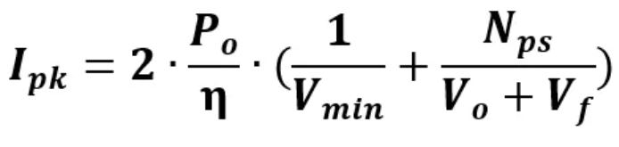
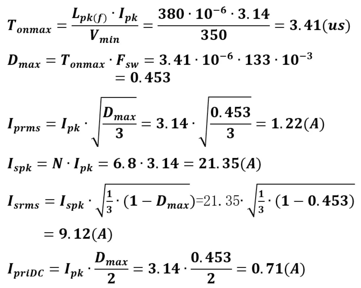
首次計算由于不知道電感量是多少,所以無法估算QR振鈴的周期,忽略QR振鈴的半周期死區時間,得到如下初級峰值電流方程:

計算得到:Ipk≈3A
變壓器電感量方程:

假定Fsw=133KHz, 計算得到:
Lp=430uH
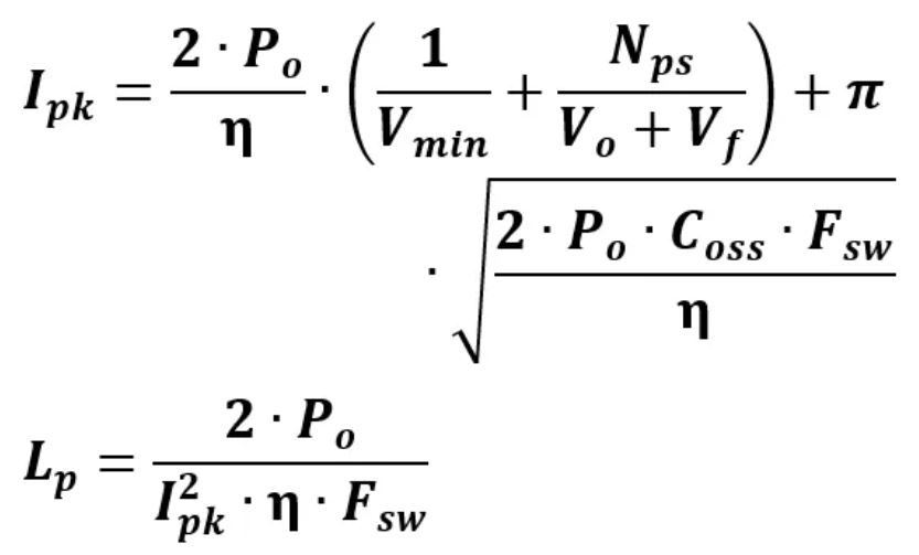
查DrvGaN NCP58922的規格書得到Coss=35pF
再考慮QR振鈴的半周期死區時間,得到如下周期頻率及輸出功率計算方程:

代入首次計算得到的電感量Lp及Coss值,計算出開關頻率及輸入功率如下,可以看出開關頻率和原始設定的頻率相比偏低,對于同樣的峰值電流,輸入功率也比原始定義的偏小, 原因是開始不知道變壓器的電感量的大致范圍,所以第一次計算峰值電流的時候沒有加入QR振鈴導致的死區時間。

包含了QR振鈴死區時間的峰值電流及電感的方程:

重新計算得到:
Ipk=3.14A
Lp=386μH

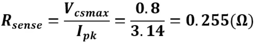
考慮到NCP1345的初級恒流值,最終Rsense取值:
Rsense(f)=0.39Ω//0.36Ω=0.187Ω
取Lp(f)=380μH
變壓器匝數計算:
變壓器磁芯用PQ3218, Ae=169mm2
極端情況下變壓器最大的峰值電流

校驗匝比N符合最大匝比要求
根據最終確定的電感量及頻率來計算Dmax和N是否在最大允許范圍內。

結論:實際匝比N滿足最大限制要求
額定條件下初級和次級RMS電流及初級電流平均值

輸出電容
假定輸出允許紋波電壓Voripple=0.3V

輸出電容電流有效值要求:

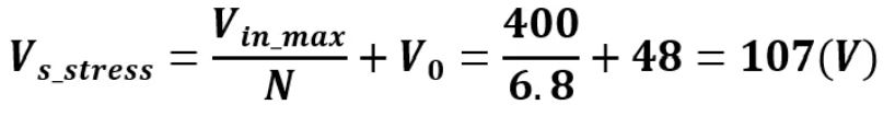
初次級開關管電壓應力
初級由于是雙管串聯工作,所以電壓應力不是問題。
次級應力:

NCP1345是QR谷底開通,所以在谷底開通時的次級應力很低,當第六個谷底后開通,開通時的電壓升高,所以次級應力相對升高。IC可以設定在第三個谷底及以后的開通具有非常慢的開通速度來降低次級應力,選用120V的同步MOS,實測在48V0.5A時最高次級應力大約113V,大約6%的應力余量。
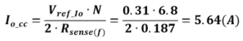
NCP1345初級恒流值
NCP1345提供初級控制次級恒流輸出,這種恒流值在任意輸出電壓下都是相同的,所以對于PD的應用提供了非常好的OCP保護。如果是普通的控制器僅僅靠峰值電流來做OCP,那么在低壓輸出的情況下OCP保護點將會非常大,根本沒有保護作用。
輸出恒流值為:

其中Vref_Io為NCP1345Q01內部設置的恒流參考常數,從這個結果可以看出為什么當初選擇Rsense的值為何減少那么多,主要是考慮到了恒流設定值。當然IC內部的恒流參考值還可以通過編程選擇不同的值來滿足不同的設計要求,這個Rsense選擇主要是考慮到直接可以用NCP1345Q01這顆已有的型號。
NCP1345 ZCD腳功能
NCP1345通過ZCD腳感應輔助繞組電流過零點的電壓并通過電阻分壓然后輸入的ZCD腳,去磁電流過零點檢查輸出電壓消除了后級同步管壓降對輸出電壓的影響,讓內部的電壓比較器提供精確快速的OVP保護,提供了小于一個周期的OVP保護響應速度,波形及外部電路如圖3所示。
ZCD腳除了提供OVP功能外,還作為去磁電流過零及谷底檢測,實現QR谷底開通,同時時還作為OPP補償設定。在開機時Pre-Startup開關接通,QR Enable開關斷開,Iopp電流源流過Ropp電阻后產生的電壓被內部檢測做為高低壓下OPP過流保護點的補償。在這個設計中由于15V以上輸出電壓時PFC電路都是工作的,所以輸入電壓變化很小幾乎恒定,OPP功能沒有被使用,只要將Ropp阻值設置在15K就可以屏蔽OPP補償功能。
當OPP檢測完成后Pre-Startup開關斷開,QR Enable開關接通,Ropp電阻和內部1K的下拉電阻并聯,和Rup電阻組成分壓電路,分壓的Vzcd供ZCD電流過零及谷底檢測,同時提供給OVP電路,OVP比較強的參考電壓為12V。ZCD檢測具有非常寬的電壓范圍,從大約0.1V到12V都沒問題,所以根據OVP保護設置的外部分壓電阻自然可以適應ZCD檢測。
OVP電壓設置:

Vovp: 設計的輸出電壓保護值
Rup: 分壓電路的上部電阻
Ns: 次級繞組匝數
Nas: 初級輔助繞組匝數
Vd: 二極管D的正向壓降為0.6V

文章來源:安森美
免責聲明:本文為轉載文章,轉載此文目的在于傳遞更多信息,版權歸原作者所有。本文所用視頻、圖片、文字如涉及作品版權問題,請聯系小編進行處理。
推薦閱讀:
惡劣條件下的成像如何破?eHDR智能線性化技術多圖效果對比!
使用ROS1驅動程序來操控ADI Trinamic電機控制器
干貨!UWB新國標深度解讀 | 大帶寬模式是國產化突圍的關鍵



