【導讀】自從寬帶隙材料被引入各種制造技術以來,通過使用MOSFET、晶閘管和 SCR等功率半導體器件就可以實現高效率。為了優化可控制造技術,可以使用特定的導通電阻來控制系統中的大部分功率器件。對于功率 MOSFET,導通電阻仍然是優化和摻雜其單元設計的關鍵參數。電導率的主要行業標準是材料技術中的特定導通電阻與擊穿電壓(R sp與 V BD )。
自從寬帶隙材料被引入各種制造技術以來,通過使用MOSFET、晶閘管和 SCR等功率半導體器件就可以實現高效率。為了優化可控制造技術,可以使用特定的導通電阻來控制系統中的大部分功率器件。對于功率 MOSFET,導通電阻仍然是優化和摻雜其單元設計的關鍵參數。電導率的主要行業標準是材料技術中的特定導通電阻與擊穿電壓(R sp與 V BD )。
盡管 SiC功率二極管和 MOSFET取得了一些進展,但此類器件的導電性優化仍然是一個重大挫折。在任何測量標準中,電路及其輸出的精度都是一個重要方面。此外,可能會出現額外的復雜情況,因為設備制造商不會在組件的數據表中說明關鍵的設計參數。
構造二極管參數和使用的提取方法
進行了一項實驗來測試額定值為 600 至 1,700 V 和 1 至 25 A 的商用和分立式 4H-SiC JBS 功率二極管。要測試的器件按照 TO-220 和 TO-247 行業標準進行封裝。為了限制空間電荷區域超出穿通范圍的擴散,為垂直 JBS 二極管的半單元電池開發了具有更高摻雜的緩沖層。

圖 1:電場示意圖(:IEEE)
如圖1所示,已經說明了擊穿時的電場分布示意圖。電場強度E PT在擊穿期間金屬-半導體界面所在的漂移周圍的界面處。緩沖區和 E C都存在,因為 n 型緩沖層限制了空間電荷區超出穿通的范圍。根據計算出的 CV 特性,從漂移區和緩沖層中提取摻雜濃度。
已計算出計算出的歸一化零偏置二極管電容 C j0N與歸一化總二極管面積的關系。此外,二乘線與數據點相匹配,這意味著 600V 二極管適合二極管區域的額定電流。
所進行的評估是在 22?C 至 250?C 的室溫下進行的,適用于具有 1 至 25 A 廣泛額定電流范圍以及 600、1,200 和 1,700 V 三種不同額定電壓的二極管。
根據漂移區摻雜濃度N DR和擊穿電壓V PT的提取值,關鍵二極管設計參數計算如下:

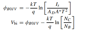
從以上等式可知,E C是雪崩擊穿的臨界電場強度,V BD是雪崩擊穿電壓。使用以下公式計算金屬-半導體結內置電位 V bi和零偏置肖特基勢壘高度 φ B0I V :

A * = 146 A/cm 2 ·K 2的值是 4H-SiC 的有效理查森常數,N C = 3 × 10 15 cm –3 ·(T) 3/2顯示有效態密度在導帶中。
計算漂移區電阻
根據 JBS 二極管結構,可以使用以下等式計算凈漂移區電阻 R DR :
![]()
如上式所示,涉及三個電阻:R B、R SUB和R C。這包括表示 n 型緩沖層、n+ 襯底和與襯底的陰極金屬歐姆接觸的電阻。這些阻力如下:

如上式所示,ρ B是緩沖層的電阻率,當摻雜濃度已知時,可以很容易地計算出該電阻率。計算中使用基板電阻率ρ SUB = 0.012 cm 和基板厚度 W SUB = 377 μm;對于陰極歐姆接觸,使用比接觸電阻ρ C = 2.5 × 10 -5 cm 2 。在這種情況下,即使 ρ C值發生輕微變化也會影響 600-V 器件的結果。特定的漂移區電阻 R DRS使用以下公式計算:
![]()
4H-SiC JBS 二極管V BD = 600-V 基板和陰極歐姆接觸電阻對總二極管導通電阻有很大影響。
對于 V BD大于 1,200 V 的二極管,導電性有進一步發展的機會,如果二極管額定雪崩擊穿電壓而不是擊穿漏電流,則可以滿足這一要求。為了實現這一點,必須通過減少漂移層中的晶體缺陷來減少或完全消除緩沖層。
設計反向漏電流
肖特基二極管中的反向漏電流 I L包括兩個主要部分:
![]()
這里,V R是施加的反向偏置電壓的大小,I SCH是經典的熱電子發射電流。
如分析所示,較低值的反向偏置電壓測量誤差是由測量設備合規性引起的。當涉及到更高的值時,隧道電流與實際測量值相比要高得多,因此表明在金屬和 4H-SiC 附近存在界面介電層是可行的。
結論
使用基于物理學的靜態 IV 和 CV 測量進行了一項實驗,以對商用 4H-SiC JBS 功率二極管進行逆向工程。一旦執行了仿真,就可以理解商用 4H-SiC JBS 功率二極管的額定穿通漏電流。這些功率二極管在比半導體的臨界電場強度低得多的電場下工作。
除此之外,SiC 功率二極管的結電容比硅功率二極管大得多。在額定值相同的情況下,有很大的機會提高這些功率器件的導通電導率。半導體行業已大力嘗試降低 4H-SiC 中的缺陷密度,但結果并不樂觀。未來必須對該主題進行研究,以提高寬帶隙功率器件的長期可靠性。
免責聲明:本文為轉載文章,轉載此文目的在于傳遞更多信息,版權歸原作者所有。本文所用視頻、圖片、文字如涉及作品版權問題,請聯系小編進行處理。
推薦閱讀:



