【導讀】在某些應用中需要線性放大器,且線性放大器在輸入訊號的極性方面具有不同的增益。圖1顯示了一個反相放大器,該放大器在V OUT (V IN )平面的第二和第四象限內呈線性,但其在第四象限的增益幅度高于第二象限。
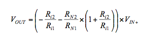
在某些應用中需要線性放大器,且線性放大器在輸入訊號的極性方面具有不同的增益。圖1顯示了一個反相放大器,該放大器在V OUT (V IN )平面的第二和第四象限內呈線性,但其在第四象限的增益幅度高于第二象限。運算放大器IC1B用作差分放大器,其增益為:

分別在其反相和同相輸入端。這些增益是恒定的,并且與輸入訊號的極性無關。

圖1反相放大器在V out (V in )平面的第二和第四象限內精確地呈線性,且在這些象限中具有不同的電壓增益。
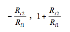
極性相關性是在圍繞IC1A構建的子電路中創建。該子電路實際上是一個已知的操作反相半整流器,它的負輸入輸出零電壓,而正輸入輸出的增益為:

反相半整流器的輸出連接至IC1B的同相輸入。因此,用于正極輸入的IC1B的輸出訊號V IN+為:

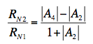
從正輸入極性所需的增益A4 = V OUT / V IN+ 開始,可以計算R N2 / R N1的比值,由于
的比率等于負輸入電壓所需的增益幅度V IN-:

對于圖1中提供的電阻值,增益的大小分別為1/3和1/2。
這里的增益幅度小于1,但也可以大于1。唯一的限制是,第四象限的增益幅度高于第二象限的增益幅度,如圖2所示。相反地??,如果需要在第二象限中獲得更高的增益,則只需在半波整流器中更改兩個二極管的極性即可。

圖2放大器的理論V in -V out特性。
C i用作增益的頻率補償。該電路僅使用四分之一運算放大器的一半,其余兩個放大器留作其他用途。
此設計用于補償電路,其中要補償的寄生脈沖因其極性而有不同幅度。

圖3 電路的輸出(紫色跡線)伴隨1kHz的三角輸入電壓波形(藍色跡線)。

圖4 已實現放大器的輸入-輸出(「 XY」)特性,第二和第四象限的電壓增益分別為-1/3和-1/2。
免責聲明:本文為轉載文章,轉載此文目的在于傳遞更多信息,版權歸原作者所有。本文所用視頻、圖片、文字如涉及作品版權問題,請電話或者郵箱聯系小編進行侵刪。




