中心論題:
- 分析鋰離子電池保護電路的基本功能和系統結構
- 分析鋰離子電池保護芯片關鍵電路的實現
- 模擬驗證鋰離子電池保護芯片性能
解決方案:
- 引入了濾除干擾電路,采用三級保護機制和帶隙基準源
- 將模擬電路偏置在弱反型區,引入了待機狀態電路
- 巧妙電路結構實現待機狀態、充電過流檢測和0V電池充電抑制電路
前言
鋰離子電池保護芯片的設計與其封裝結構密切相關,如圖1所示為封裝在鋰離子電池內部的保護電路的基本結構。在正常情況下,充電控制端CO 和放電控制端DO 為高電位,N型放電控制管FET1和充電控制管FET2處于導通狀態,電路的工作方式可以是電池向負載放電,也可以是充電器對電池進行充電;當保護電路檢測到異常現象(過充電、過放電和過電流)時,使CO或DO輸出低電平,從而切斷充電或放電回路,實現保護功能。
為了有效利用放電電流或充電電流,FET1和FET2采用導通電阻很小的功率管。它們的選擇原則除了導通電阻要小,還要求體積小,并且關閉時源漏擊穿電壓要能經受不匹配充電器的影響。從理論上說,FET1和FET2可以用N 管也可以用P 管。但由于單節鋰離子電池保護電路的電源電壓較低,為了減小導通電阻,一般都采用N管。圖1中二極管是FET1和FET2的寄生二極管,它們的存在使系統在過放電狀態下能對電池充電,在過充電狀態下能對負載放電。
圖1 3.6V 鋰離子電池保護電路封裝結構
鋰離子電池保護芯片的應用場合要求其具有低電流驅動、高精度檢測的特點,另外由于保護電路的供電電源即為電池電壓,因此在電池電壓的變化范圍內,保護電路必須正常工作,本文根據圖1 所示的連接關系,設計一種低功耗單節鋰離子電池保護芯片,其電池電壓可以在1V—5.5V范圍內變化。
系統結構設計
鋰離子電池保護芯片的基本功能是進行過充電保護、過放電保護和過電流保護,其中過電流保護包括充電過流保護和放電過流保護。下面以保護電路的基本功能為出發點,分析其系統的組成。
檢測異常現象
鋰離子電池保護電路為了實現其基本功能,首先需要檢測異常現象。過充電和過放電檢測是將電池電壓進行分壓(采樣)后與基準電壓比較實現的;而對于過流檢測,保護芯片首先將充放電過程中的電流轉化為在功率管FET1、FET2上的電壓,然后通過VM與基準電壓比較完成,放電過流檢測的是正電壓,充電過流檢測的是負電壓。
濾除干擾信號
通常在鋰離子電池保護電路的工作過程中會有干擾信號存在,干擾信號的類型主要有兩種:一種為瞬間干擾,它是指在正常的信號上,在極短的時間內疊加上一個較大的信號。另一種為波動干擾,它是指信號的起伏波動。如圖2 以充電過程解釋了這兩類干擾,其中VCU 為過充電檢測電壓。
為了防止干擾信號的引入使保護電路產生誤動作,可以從系統角度考慮采用適當的措施減小它們的影響。
瞬間干擾可以在保護電路內部加上延時電路加以濾除,即當保護電路檢測到異常信號后,延時一段時間再關閉FET1或FET2。根據過充電、過放電、過電流對鋰電池的危害程度選取不同的延時時間。為了更加合理的保護鋰電池,放電過流可分為三個級別,分別為過流1保護、過流2保護以及負載短路保護,過流1的延時稍長,過流2的延時比過流1的延時短一些,而負載短路不加延時立即保護。波動干擾可以在保護電路內部加上遲滯電路加以濾除。
控制充電控制管有效關閉
在充電過程中,與FET2源極相連的VM端電位為負值,當過充電保護起作用時,必須在過充電延時信號與CO端之間加上電平轉換電路,將控制邏輯電路產生的邏輯信號進行轉換,使CO端的電位小于或等于VM端的電位,從而保證FET2有效關斷。
0V電池充電抑制功能
鋰離子電池保護電路可實現對0V電池進行充電,也可實現對0V 電池禁止充電,本文的設計采用后者,這一功能使保護電路禁止對內部短路的電池進行充電。當電池電壓為0V電池充電抑制電壓VOINH(典型值為1V左右)或更低時,FET2的柵極電位被固定為VM 的電位,從而禁止充電。當電池電壓等于或高于VOINH 時,可以進行充電。
其它功能
1)在過充電狀態下,保護電路需禁止放電過流保護起作用。因為電池在過充電后接上負載的情況下,在放電初期,系統仍處于過充電狀態,此時放電電流必然很大,引起過流的可能性很大;而過流保護如果起作用,就會關斷放電回路。這樣,一旦電池過充電,就可能永遠不能使用;
2)在過放電保護起作用時,保護電路需禁止充電過流保護起作用。因為當電池過放電后,剛接上充電器充電時,充電電流會很大。此時禁止充電過流保護起作用,可保證電池在過放電后可充電;
3)為了減少充電電流流過FET1內部寄生二極管的時間,如果在過放電狀態下連接上充電器并且VM電壓低于充電過流檢測電壓時,解除過放電遲滯。
根據上述分析,本文設計的鋰離子電池保護電路的系統框圖如圖3所示。系統主要包括控制邏輯電路(CONTROL LOGIC CIRCUIT)、取樣電路(SAMPLE CIRCUIT)、過充電檢測比較器(OVERDIACHARGE COMPARATOR)、過放電檢測比較器(OVERDISCHARGE COMPARATOR)、過流1檢測比較器(OVERCURRENT1 COMPARATOR)、過流2 檢測比較器(OVERCURRENT2 COMPARATOR)、負載短路檢測電路(LOAD SHORT DETECTION CIRCUIT)、充電過流檢測電路(CHARGER DETEDTION CIRCUIT)、電平轉換電路(CONVERTOR CIRCUIT)、基準電路(REFERENCE CIRCUIT)以及偏置電路(BIAS CIRCUIT)。其中,偏置電路在圖3 中沒有給出,電平轉換電路同時能實現0V 充電抑制功能。
圖3 鋰離子電池保護電路系統框圖
圖3 中MN 在過電流時導通,它的作用是使過大的電流不經過FET1和FET2而通過MN流向地。MP與待機狀態有關,待機狀態電路的工作原理是:當保護電路進入過放電狀態后,產生一個待機狀態信號,使保護芯片中的大多數電路停止工作,它是通過控制邏輯電路和負載短路檢測電路的配合完成的。M3的作用是在待機狀態下,使采樣電路不消耗靜態電流。M4和M5分別用于實現過放電和過充電檢測遲滯以濾除充放電過程中的波動干擾信號。而瞬時干擾信號的濾除由控制邏輯電路中的延時電路實現。
關鍵電路實現
鋰離子電池保護芯片的性能,不僅與系統結構密切相關,與具體電路的實現也是密不可分的,下面的電路模塊在整個芯片中具有關鍵的作用,本文從功耗和精度等角度考慮,提出了獨特的設計方法。
待機狀態電路
保護電路進入待機狀態有賴于過放電狀態的檢測,進入待機狀態后,為了減小功耗應使盡可能多的電路模塊停止工作,但如果所有的檢測電路都不工作,待機狀態將無法退出,為此在設計負載短路檢測電路時不引入待機狀態控制信號,其目的即為在電池電壓升高后使保護電路能及時退出待機狀態。圖4 給出了待機狀態信號產生和撤銷的原理圖。

圖4 待機狀態實現電路
圖4 中SOD為過放電檢測信號,系統處于正常狀態時,SOD為高電平,VM為低電平,因此待機狀態控制信號POWERD輸出高電平、POWERDB輸出低電平。當系統進入過放電狀態時,SOD(延時后的信號)變為低電平,MP導通使VM變為高電平,最終使POWERD變為低電平、POWERDB變為高電平,它們控制保護電路相應模塊停止工作,系統進入待機狀態。當對電池進行充電時,由圖1可知VM被強制拉到低電平,使負載短路檢測電路的輸出信號OUT_LSB變為高電平;此時,不論SOD為何值或非門都將輸出低電平,POWERD由此變為高電平,這樣,就可實現待機狀態的退出。
基準電壓電路
為了檢測過充電、過放電和放電過流情況,檢測比較器需要與基準電壓進行比較。由于過充電檢測和過放電檢測電路之前有采樣電路,它們可用相同的基準電壓,而過流1 和過流2 需采用不同的基準電壓。為了提高芯片的檢測精度,電壓基準采用受電源、溫度和工藝影響較小的帶隙基準源,如圖5 所示為具體結構圖,其中M1~M5 工作于弱反型區,因此該電路具有功耗較小的特點。
電路的工作原理為:由M1—M4和R5組成的自偏置電路產生具有正溫度系數的電流,它在電阻R0所產生的壓降和具有負溫度系數的PN 結壓降(D0上的壓降)相加,從而輸出零溫度系數的基準電壓VBD;為滿足同一電路中輸出不同的基準電壓源,利用電阻分壓將VBD 分成了VBI1及VBI2輸出;C0和R6組成啟動電路。
由圖5 可知, VGSM2-VGSM1=IM2*R5。M3 和M4 組成電流鏡,取相同的寬長比,則IM1=IM2。因為M1和M2工作于弱反型區,所以:

式(1)中n為亞閾值因子,UT為熱電勢。M3和M5組成電流鏡,則:

設R=(R1+R2)//(R3+R4),二極管的正向壓降為VD,可以推導輸出電壓為:

由(3)—(5)式可知,基準電壓的精度與電阻R0—R4 的精度直接相關,為此這些電阻需要采用調整(trimming)技術。
圖5 電壓基準電路
充電過流檢測電路
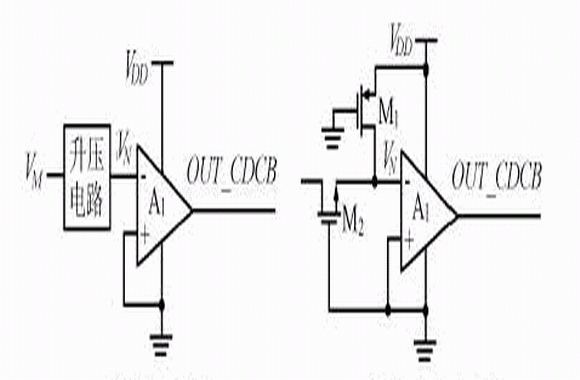
充電過流的檢測歸結為檢測VM電壓,其臨界值為VCH(約為-1.3V)。如果所用工藝的MOS管閾值電壓可以調節,負電壓檢測電路可用差分結構的比較器實現,其中比較器的一個輸入端接地,并且兩個差分對管的閾值電壓需要調整。為了使該電路能用常規的CMOS 工藝實現,本文在過零比較器的基礎上引入升壓電路,如圖6(a)所示當VM》VCHA時,升壓電路使VN>0 。升壓部分具體實現如圖6(b)所示。

(a)采用升壓實現 (b)升壓部分具體實現
圖6 負壓檢測原理
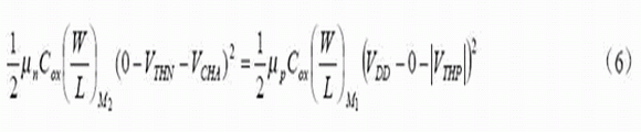
PMOS管M1和NMOS管M2的柵極都接地。當M1的柵源電壓小于它的閾值電壓時,M2截止,而M1始終導通,A1比較器的反相輸入信號VN電位因為大于同相輸入端的電位,而使輸出OUT_CDCB為低電平。隨著輸入信號VM電位向負方向的增大,M2逐漸導通,最后使得VN 端電位變負,OUT_CDCB由此變為高電平。圖6中VN=0時的輸入電壓即為檢測電壓VCHA,此時M1和M2處于飽和狀態且下列關系式成立:

(6)式中, un和up分別為N管和P管的遷移率,VTHN和VTHP分別為N管和P管的閾值電壓,COX為氧化層電容。(6)式經整理得:

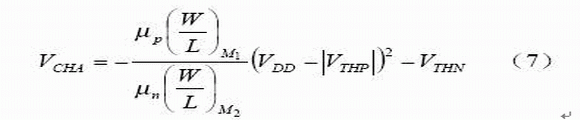
由(7)式可知,本電路中檢測電壓|VCHA|的取值只能大于M2的閾值電壓,改變M1和M2的寬長比可改變檢測電壓VCHA。當M2未導通時,電路消耗的電流較小;當M2導通時,就會有電源到地的通路,為了減小消耗的電流,一般取M1的寬長比小于1。
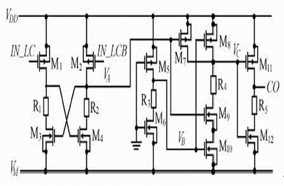
電平轉換電路及0V 電池充電抑制電路
由于電平轉換電路和0V電池充電抑制電路的目的都是為了控制CO端,這兩個功能可用一個電路完成,如圖7 所示給出了具體實現電路。
圖7 電平轉換電路及0V電池充電抑制電路
電平轉換功能主要由M1—M4、R1和R2組成的電路完成;0V電池充電抑制功能主要由M5、M6和R3完成;M7—M10和R4組成的與非門在電平轉換功能和0V 電池充電抑制功能之間進行選擇。電阻起限流作用。下面是這兩個功能的具體實現過程。
電平轉換實現過程
在正常的放電過程中,VM端電位大于零而接近于零,可近似為VSS。此時,該電路的輸入信號IN_LCB=‘0’,IN_LC=‘1’,顯然,CO輸出為高電平(VDD)。
在正常的充電過程中,VM端電位小于零而接近于零,仍可近似為VSS。當出現過充電或充電過流時,IN_LC=‘0’,IN_LCB=‘1’,VA為VM端電位,VB為VDD電位,VC輸出VDD電位,因此CO與VM等電位。
0V 電池充電抑制實現過程
0V 電池充電抑制功能發生在充電過程中,此時,IN_LCB=‘0’,IN_LC=‘1’,VA 為高電平。當電池電壓VDD小于或等于1V時,M5關閉,另外,較小的電池電壓使其內阻變小,接近內部短路。在這種情況下充電,充電電流一定很大,導致VM的電位下降很大,使M6 導通,VB由低電平轉化為高電平,CO端輸出電位接近VM電位。
模擬結果
芯片的所有功能和主要參數均用HSPICE 進行了模擬驗證。圖8 給出了過充電保護檢測和釋放波形圖,圖9 給出了過放電保護檢測和釋放波形圖,其中COMP_OC 為過充電比較器的輸出信號,COMP_OD 為過放電比較器的輸出信號;芯片的過充電和過放電檢測精度約為30mV,在正常工作時消耗的電流為3.23uA,在待機狀態時消耗的電流為0.15uA。
圖8 過充電保護檢測和釋放波形圖
圖9 過放電保護檢測和釋放波形圖
總結
本文設計了一種單節鋰離子電池保護芯片,它可用常規的P 阱或雙阱CMOS工藝實現。為了提高檢測異常情況的精度,芯片中引入了濾除干擾電路,放電過流采用三級保護機制,電壓基準采用帶隙基準源;為了降低功耗,采用了如下措施:將模擬電路偏置在弱反型區,引入了待機狀態電路;另外,本文用巧妙的電路結構實現了待機狀態電路、充電過流檢測電路以及0V電池充電抑制電路。經過模擬驗證,本文設計的芯片能有效防止鋰離子電池在應用中所發生的過充電、過放電和過電流現象,并且具有良好的性能。




