【導讀】很多剛接觸阻抗的人都會有這個疑問,為什么常見的板內單端走線都是默認要求按照50歐姆來管控而不是40歐姆或者60歐姆?這是一個看似簡單但又不好回答的問題。
很多剛接觸阻抗的人都會有這個疑問,為什么常見的板內單端走線都是默認要求按照50歐姆來管控而不是40歐姆或者60歐姆?這是一個看似簡單但又不好回答的問題。
為什么說不好回答呢?信號完整性問題本身就是一個權衡取舍的問題,所以在業內最著名的一句話也就是:“It depends……”這就是沒有標準答案,仁者見仁智者見智的一個問題。今天高速先生也就這個問題綜合各種答復來簡單總結下,在此也是拋磚引玉,希望更多 的人可以從各自的角度出發總結出更多相關的因素。
首先,50歐姆是有一定歷史淵源的,這得從標準線纜說起。我們都知道近代電子技術 很大一部分是來源于軍隊,慢慢的軍用轉為民用,在微波應用的初期,二次世界大戰期間,阻抗的選擇完全依賴于使用的需要。隨著技術的進步,需要給出阻抗標 準,以便在經濟性和方便性上取得平衡。在美國,最多使用的導管是由現有的標尺竿和水管連接成的,51.5歐姆十分常見,但看到和用到的適配器/轉換器又是 50歐姆到51.5歐姆;為聯合陸軍和海軍解決這些問題,一個名為JAN的組織成立了,就是后來的DESC,由MIL特別發展的,綜合考慮后最終選擇了 50歐姆,并且特別的導管被制造出來,并由此轉化為各種線纜的標準。此時歐洲標準是60歐姆,不久以后,在象Hewlett-Packard這樣在業界占 統治地位的公司的影響下,歐洲人也被迫改變了,所以50歐姆最終成為業界的一個標準沿襲下來,也就變成約定俗成了,而和各種線纜連接的PCB,為了阻抗的 匹配,最終也是按照50歐姆阻抗標準來要求了。
其次,從加工可實現的角度出發,50歐姆實現起來比較方便。從前面阻抗計算公式可知,過低 的阻抗需要較寬的線寬以及薄介質(或較大的介電常數),這對于目前高密板來說空間上比較難滿足;過高的阻抗又需要較細的線寬及較厚的介質(或較小的介電常 數),不利于EMI及串擾的抑制,同時對于多層板及從量產的角度來講加工的可靠性會比較差;而50歐姆在常用材料的環境下普通的線寬和介質厚度 (4~6mil)即符合設計要求(如下圖一阻抗計算),又方便加工,慢慢的成為默認選擇也就不足為奇了。

圖一 阻抗計算
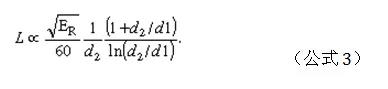
第三,從損耗的角度出發,根據基本的物理學可以證明50歐姆阻抗趨膚效應損耗最小(摘自Howard Johnson, PhD的回復)。通常電纜的趨膚效應損耗L(以分貝做單位)和總的趨膚效應電阻R(單位長度)除以特性阻抗Z0成正比??偟内吥w效應電阻R是屏蔽層和中間 導體電阻之和。屏蔽層的趨膚效應電阻在高頻時,和它的直徑d2成反比。同軸電纜內部導體的趨膚效應電阻在高頻時,和他的直徑d1成反比。總共的串聯電阻 R,因此和(1/d2+1/d1)成正比。綜合這些因素,給定d2和相應的隔離材料的介電常數Er,可以用以下公式來使得趨膚效應損耗最小。

在任何關于電磁場和微波的基礎書中,都可以找到Z0是d2,d1和Er的函數。

把公式2代入公式1中,分子分母同時乘以d2,整理得到

從 公式3分離出常數項( /60)*(1/d2),有效的項((1+d2/d1)/ln(d2/d1))來確定最小值點。仔細查看公式3的最小值點僅由d2/d1控制,和Er以及 固定值d2無關。以d2/d1為參數,為L做圖,顯示d2/d1=3.5911時,取得最小值。假定固態聚乙烯的介電常數為2.25,d2 /d1=3.5911 得出特性阻抗為51.1歐姆。很久之前,無線電工程師為了方便使用,把這個值近似為50歐姆作為同軸電纜最優值。這證明了在50歐姆附近,L是最小的。
最 后,從電氣性能的角度看,50歐姆的優勢也是綜合考慮之后的折中。單純從PCB走線的性能來說,阻抗低比較好,對一個給定線寬的傳輸線,和平面距離越近, 相應的EMI會減小,串擾也會因此減小,同時也不易受容性負載影響。但從全路徑的角度看,還需要考慮最關鍵的一個因素,那就是芯片的驅動能力,早期大多數 芯片驅動不了阻抗小于50歐姆的傳輸線,而更高阻抗的傳輸線由于實現起來不便,所以折中采用了50歐姆阻抗。
綜上所述:50歐姆作 為業界的默認值有其先天的優勢,同時也是綜合考慮后的折中方案,但并不是說就一定要用50歐姆阻抗了,很多時候還是取決于與之匹配的接口,如75歐姆仍然 是遠程通訊的標準,一些線纜和天線都是使用的75歐姆,此時就需要與之匹配的PCB線路阻抗。另外還有一些特殊的芯片通過改善芯片驅動能力,來降低傳輸線 的阻抗,以此得到更好的抑制EMI和串擾的效果,如Intel的多數芯片要求阻抗控制在37歐姆、42歐姆甚至更低,在此不再贅述。





