- 開關變壓器伏秒容量參數的考慮和測量
- 伏秒容量VT表示:一個變壓器能夠承受多高的輸入電壓和多長時間的沖擊
- 在變壓器伏秒容量一定的條件下,輸入電壓越高,變壓器能夠承受沖擊的時間就越短
- 反之,輸入電壓越低,變壓器能夠承受沖擊的時間就越長
- 一定工作電壓條件下,變壓器伏秒容量越大,變壓器鐵芯中磁通密度就越低,變壓器鐵芯就不容易飽和
- 變壓器鐵芯的氣隙長度留得越大,其平均導磁率就越小,而變壓器鐵芯就不容易飽和
- 但變壓器鐵芯的平均導磁率越小,變壓器初、次級線圈之間的漏感就越大
- 在實際應用中,一般把變壓器磁芯有效導磁率下降到最大值的70%時的溫度,定義為居里溫度點
- 對開關電源變壓器進行設計時工作溫度最好不要超過110℃
編者按:本文是陶顯芳老師專門為進行公司內部培訓而寫的文章。非常感謝陶老師把它拿出來和大家分享。陶老師撰寫文章的初衷是為了提高本公司產品的質量水平和提高本公司設計人員的業務水平;現在我們將它在更大的范圍內推廣,相信會對提高整個產業的技術水平帶來幫助。這是一件非常好的事情,再次感謝陶老師。大家看后有疑問可在電子元件技術網陶老師主持的“電子系統電磁兼容與電路保護”專家論壇里提出,陶老師會給大家滿意的答復。
長期以來,我們公司產品中使用的開關電源變壓器、行推動變壓器、高壓包等等開關變壓器,在對其進行參數設計或測試的時候,只關心它的電感參數以及輸入、輸出電壓、電流參數,而對于它的伏秒容量參數就很少有人進行考慮和測量。
最近,由于公司部份產品的開關電源出了故障,才開始意識到開關電源變壓器伏秒容量參數的重要性。因此,這里簡單介紹一下什么是開關電源變壓器的伏秒容量,然后再分析怎樣對開關電源變壓器的伏秒容量進行測量,并定義其測量方法。
一、什么是變壓器的伏秒容量
圖1是反激式開關電源的工作原理圖,我們公司幾乎所有的CRT電視機都是采用反激式開關電源。

在圖1中,當輸入電壓E加于開關電源變壓器初級線圈N1的兩端時,由于變壓器次級線圈產生的電動勢與流過二極管的電流方向正好相反,相當于所有次級線圈均開路,此時開關變壓器相當于一個電感L1。其等效電路如圖2-a) 所示,圖2-b) 是開關接通時,電感兩端的電壓和流過電感L1的電流。

從圖2可以看出,流過變壓器的電流只有勵磁電流,變壓器鐵心中的磁通量全部都是由勵磁電流產生的。如果開關電源變壓器初級線圈的電感量是恒定的,或變壓器鐵芯的導磁率永遠保持不變;那么,當控制開關接通以后,流過變壓器初級線圈的勵磁電流就會隨時間增加而線性增加,變壓器鐵心中的磁通量也隨時間增加而線性增加。根據電磁感應定理:

式中e1為變壓器初級線圈產生的電動勢,L1為變壓器初級線圈的電感量,
為變壓器鐵心中的磁通量,E為變壓器初級線圈的輸入電壓。其中磁通量 還可以表示為:

上式中,k是一個與單位制相關的系數,S為變壓器鐵心的導磁面積,B為磁感應強度,也稱磁通密度,即:單位面積的磁通量。把(2)式代入(1)式,并進行積分:

由此求得:

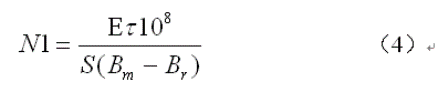
或

(4)式就是計算反激式開關電源變壓器初級線圈N1繞組匝數的公式。式中,N1為變壓器初級線圈N1繞組的最少匝數,S為變壓器鐵心的導磁面積,單位:平方厘米;Bm為變壓器鐵心的最大磁感應強度,單位:高斯;Br為變壓器鐵心的剩余磁感應強度,單位:高斯),Br一般簡稱剩磁;τ = Ton,為控制開關的接通時間,簡稱脈沖寬度,或電源開關管導通時間的寬度,單位:秒;E為工作電壓,單位為伏。式中的指數是統一單位用的,選用不同單位制,指數的值也不一樣,這里選用CGS單位制,即:長度為厘米(cm),磁感應強度為高斯(Gs),磁通單位為麥克斯韋(Mx)。
(5)式中,
就是變壓器的伏秒容量,即:伏秒容量等于輸入脈沖電壓幅度與脈沖寬度的乘積,這里我們把伏秒容量用VT來表示。伏秒容量VT表示:一個變壓器能夠承受多高的輸入電壓和多長時間的沖擊。
在變壓器伏秒容量一定的條件下,輸入電壓越高,變壓器能夠承受沖擊的時間就越短,反之,輸入電壓越低,變壓器能夠承受沖擊的時間就越長;而在一定的工作電壓條件下,變壓器的伏秒容量越大,變壓器的鐵芯中的磁通密度就越低,變壓器鐵芯就不容易飽和。
當變壓器的鐵芯面積固定以后,變壓器的伏秒容量主要就是由磁通增量⊿B(⊿B = Bm-Br)的大小以及變壓器初級線圈的匝數N1來決定。另外,我們知道,磁感應強度是由磁場強度來決定的,即磁通增量⊿B也是由磁場強度來決定的。如圖3所示。圖3中,虛線B為變壓器鐵芯的初始磁化曲線,初始磁化曲線就是變壓器鐵芯還沒有帶磁,第一次使用時的磁化曲線,一旦變壓器鐵芯帶上磁后,初始磁化曲線就不再存在了。因此,在開關變壓器中,變壓器鐵芯的磁化一般都不是按初始磁化曲線來進行工作的,而是隨著磁場強度增加和減少,磁感應強度將沿著磁化曲線ab和ba,或磁化曲線cd和dc,來回變化。當磁場強度增加時,磁場強度對變壓器鐵芯進行充磁;當磁場強度減少時,磁場強度對變壓器鐵芯進行退磁。
磁場強度由0增加到H1,對應的磁感應強度由Br1沿著磁化曲線ab增加到Bm1;而當磁場強度由H1下降到0時,對應的磁感應強度將由Bm1沿著磁化曲線ba下降到Br1。如果不考慮磁通的方向,磁通的變化量就是⊿B1 ,即磁通增量⊿B1 = Bm1-Br1。如果磁場強度進一步增大,由0增加到H2,則磁化曲線將沿著曲線cd和dc進行,對應產生的磁通增量⊿B2 = Bm2-Br2。

由圖3中可以看出,對應不同的磁場強度,即不同的磁化電流,磁通變化量也是不一樣的,并且磁通變化量與磁場強度不是線性關系。圖4是磁感應強度與磁場強度相互變化的函數曲線圖。圖4中,曲線B是磁感應強度與磁場強度對應變化的曲線;曲線 為導磁率與磁場強度對應變化的曲線。其中:


由圖4中可以看出,導磁率最大的地方并不是磁感應強度或磁場強度最小或最大的地方,而是位于磁感應強度或磁場強度的某個中間值的地方。當導磁率達到最大值之后,導磁率將隨著磁感應強度或磁場強度增大,而迅速下降;當導磁率下降到將要接近0的時候,我們就認為變壓器鐵芯已經開始飽和。如圖中Bs和Hs。
由于導磁率的變化范圍太大,且容易飽和,因此,一般開關電源使用的開關變壓器都要在變壓器鐵芯中間留氣隙。圖5-a) 是中間留有氣隙變壓器鐵芯的原理圖,圖5-b) 是中間留有氣隙的變壓器鐵芯的磁化曲線圖,及計算變壓器鐵芯最佳氣隙長度的原理圖。
圖5-b) 中,虛線是沒留有氣隙變壓器鐵芯的磁化曲線,實線是留有氣隙變壓器鐵芯的磁化曲線;曲線b是留有氣隙變壓器鐵芯的等效磁化曲線,其等效導磁率,即曲線的斜率為
;
是留有氣隙變壓器鐵芯的平均導磁率;
是沒留有氣隙時變壓器鐵芯的導磁率。

由圖5可以看出,變壓器鐵芯的氣隙長度留得越大,其平均導磁率就越小,而變壓器鐵芯就不容易飽和;但變壓器鐵芯的平均導磁率越小,變壓器初、次級線圈之間的漏感就越大。因此,變壓器鐵芯氣隙長度的設計是一個比較復雜的計算過程,并且還要根據開關電源的輸出功率以及電壓變化范圍(占空比變化范圍)綜合考慮。比如,對于行輸出回掃變壓器(高壓包)鐵芯氣隙長度的設計就要比主開關電源變壓器的鐵芯氣隙長度的設計容易非常多。
實際上我們公司使用的開關電源變壓器基本上沒有人進行過氣隙長度的設計,而是設計師根據變壓器的功率把變壓器初級電感量和匝數比計算好后,就讓變壓器生產廠自己調節變壓器的鐵芯氣隙長度,以此來滿足設計師的要求,這種設計方法很容易出現質量問題,最大的質量問題就是磁芯出現磁通密度飽和。
另外,變壓器磁芯也是一種半導體材料(金屬氧化物),很多半導體器件就是用金屬氧化物來制造的,如熱敏電阻、場效應管等。半導體材料的特性就是受溫度的影響很靈敏,當溫度上升到一定范圍以后,變壓器磁芯的電阻率就會變小,并開始導電。
因此,當溫度升高到一定范圍以后,在變壓器磁芯內部就會產生很大的渦流損耗,并使鐵芯有效導磁率急速下降。這個使變壓器磁芯有效導磁率急速下降的溫度點,我們把它稱為居里溫度點。在實際應用中,一般我們可以把變壓器磁芯有效導磁率下降到最大值的70%時的溫度,定義為居里溫度點。如圖6所示。

圖6是日本TDK公司高導磁率材料H5C4系列磁芯初始導磁率 隨溫度變化的曲線圖,其居里溫度大約為105℃。
由圖6可以看出,變壓器磁芯的使用環境溫度,對變壓器的性能影響是非常大的。但我們在使用開關電源變壓器的時候,就很少有人去考慮或檢測變壓器磁芯的居里溫度。大部份開關電源變壓器磁芯的居里溫度都在120℃左右,因此,我們對開關電源變壓器進行設計時工作溫度最好不要超過110℃。





