【導讀】對于很靠近的兩個色環電感之間的互感進行實驗測量。發現了大體他們之間的互感系數在0.3左右。但令人感到奇怪的是,無論兩個色環電感相互的極性如何,互感總是正的。具體現象見博文內容,但其中的道理何在呢?
§01 串聯色環電感
在昨天的 色環電感外部磁場泄露[1] 測試中,初步探討了使用色環電感作為天線放大器扼流圈負載的情況下,如何避免由于漏感引起的放大器磁耦合自激振蕩的情況。在留言區中 佟超 給出了 一個非常有趣的建議:那就是利用兩個色環電感局部電氣串聯在一起,但結構上并聯在一起,并且極性相反,如此構成一個局部準磁環的結構,可以大大減少外漏的磁場量,同時在一定程度上也提高了電感的電感量。下面通過具體測量來檢驗這種連接方式對于兩個電感最終的電感量、漏磁場的影響。

參與實驗的兩個色環電感
測試所使用的兩個色環電感的參數,使用 NanoVNA[2] 測量電感在150kHz下的參數:
◎ 電感1的參數(@150kHz):
電感(uH):4158.6
串聯電阻(Ω):213.16
品質因子Q:18.39
◎ 電感2的參數(@150kHz):
電感(uH):4116.91
串聯電阻(Ω):212.17
品質因子Q:18.29
1.電感串聯
將兩個電感進行串聯,在空間上它們可以呈現不耦合(相距很遠),并行放在一起同相耦合和反向耦合。
(1)不耦合
◎ 串聯電感的參數(@150kHz):
電感(uH):8479.51
串聯電阻(Ω):648.05
品質因子Q:12.33

兩個電感不耦合
(2)同相耦合
◎ 串聯電感的參數(@150kHz):
電感(uH):11069.5
串聯電阻(Ω):804.99
品質因子Q:12.96

兩個電感串聯同相耦合
(3)反向耦合
◎ 串聯電感的參數(@150kHz):
電感(uH):10501.16
串聯電阻(Ω):579.53
品質因子Q:17.08

兩個電感串聯,反向耦合
2.電感并聯
(1)不耦合
◎ 串聯電感的參數(@150kHz):
電感(uH):2029.75
串聯電阻(Ω):75.46
品質因子Q:25.35

兩個電感并聯不耦合
(2)同相耦合
◎ 串聯電感的參數(@150kHz):
電感(uH):1617.11
串聯電阻(Ω):66.48
品質因子Q:22.92

兩個電感并聯,同相耦合
(3)反向耦合
◎ 串聯電感的參數(@150kHz):
電感(uH):1640.01
串聯電阻(Ω):62.91
品質因子Q:24.56

兩個電感并聯,反向耦合
3.結果總結
(1)電感測量表格
將上面的測量結果總結在下面的表格中。

(2)測量互感
根據 有互感的電感的串并聯[3] 考慮帶有互感的電感
串聯,互感
,串聯的電感為:
串聯的電感為:

那么上面的測量結果來看,當兩個電感靠在一起的時候,無論是他們的極性是相同,還是相反,所獲得串聯電感都是增加的。同樣,對于并聯,并聯在一起,如果耦合在一起對應的電感也是降低了。因此,這里其中相互耦合M都是大于零的。
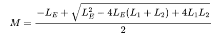
根據上面的測量值,可以測量在不同耦合下對應的兩個電感之間的互感。串聯互感計算公式:
并聯互感計算公式:


可以看到放在一起的兩個色環電感,他們之間的互感總是大于零的。這一點是很奇怪的。他們之間的互感系數大體在0.3左右。
※ 總結討論 ※
通過實驗驗證了原來一直想知道的,當兩個色環電感靠近在一起他們之間的互感大體為0.3左右。令人想不到的是, 無論兩個電感的方向如何,他們之間的互感總是正的,而且大體在0.3左右。 。

靠近的兩個電感之間的磁場
關于為什兩個靠近的工字型的電感之間的互感總是正的?這一點還有點進一步的理解、探討。誰能告訴我其中的道理呢?
參考資料
[1]色環電感外部磁場泄露: https://zhuoqing.blog.csdn.net/article/details/116858591
[2]NanoVNA: https://zhuoqing.blog.csdn.net/article/details/116295857
[3]有互感的電感的串并聯: https://zhuoqing.blog.csdn.net/article/details/113498649
免責聲明:本文為轉載文章,轉載此文目的在于傳遞更多信息,版權歸原作者所有。本文所用視頻、圖片、文字如涉及作品版權問題,請聯系小編進行處理。
推薦閱讀:



