中心議題:
- 介紹SHTll的基本特點、引腳功能、內部結構和工作原理
- 給出SHTll的實用電路、軟件設計方法和溫濕度及露點的計算方法
解決方案:
- SHTll溫濕度傳感器采用SMD表面貼片封裝形式,接口非常簡單
- 微處理器采用二線串行數字接口和溫濕度傳感器芯片SHTll進行通信
- 采用通用I/O口模擬該通信協議
SHTll簡介
SHTll是瑞士Sensirion公司推出的一款數字溫濕度傳感器芯片。該芯片廣泛應用于暖通空調、汽車、消費電子、自動控制等領域。共主要特點如下:
◆高度集成,將溫度感測、濕度感測、信號變換、A/D轉換和加熱器等功能集成到一個芯片上;
◆提供二線數字串行接口SCK和DATA,接口簡單,支持CRC傳輸校驗.傳輸可靠性高;
◆測量精度可編程調節,內置A/D轉換器(分辨率為8~12位,可以通過對芯片內部寄存器編程來選擇);
◆測量精確度高,由于同時集成溫濕度傳感器,可以提供溫度補償的濕度測量值和高質量的露點計算功能;
◆封裝尺寸超小(7.62 mm×5.08 mm×2.5 mm),測量和通信結束后,自動轉入低功耗模式;
◆高可靠性,采用CMOSens工藝,測量時可將感測頭完全浸于水中。
SHTll的引腳功能
SHTll溫濕度傳感器采用SMD(LCC)表面貼片封裝形式,接口非常簡單,引腳名稱及排列順序如圖l所示。
各引腳的功能如下:
◇腳1和4——信號地和電源,其工作電壓范圍是2.4~5.5 V;
◇腳2和腳3——二線串行數字接口,其中DA-TA為數據線,SCK為時鐘線;
◇腳5~8——未連接。
SHTll的內部結構和工作原理
溫濕度傳感器SHTl1將溫度感測、濕度感測、信號變換、A/D轉換和加熱器等功能集成到一個芯片上,其內部結構如圖2所示。該芯片包括一個電容性聚合體濕度敏感元件和一個用能隙材料制成的溫度敏感元件。這兩個敏感元件分別將濕度和溫度轉換成電信號,該電信號首先進入微弱信號放大器進行放大;然后進入一個14位的A/D轉換器;最后經過二線串行數字接口輸出數字信號。SHT11在出廠前,都會在恒濕或恒溫環境中進行校準,校準系數存儲在校準寄存器中;在測量過程中,校準系數會自動校準來自傳感器的信號,此外,SHT11內部還集成了一個加熱元件,加熱元件接通后可以將SHTll的溫度升高5℃左右,同時功耗也會有所增加。此功能主要為了比較加熱前后的溫度和濕度值,可以綜合驗證兩個傳感器元件的性能。在高濕(>95%RH)環境中,加熱傳感器可預防傳感器結露,同時縮短響應時間,提高精度。加熱后SHTll溫度升高、相對濕度降低,較加熱前,測量值會略有差異。
微處理器是通過二線串行數字接口與SHTl1進行通信的。通信協議與通用的I2C總線協議是不兼容的,因此需要用通用微處理器I/O口模擬該通信時序。微處理器對SHTll的控制是通過5個5位命令代碼來實現的,命令代碼的含義如表1所列。

SHTll應用設計
微處理器采用二線串行數字接口和溫濕度傳感器芯片SHTll進行通信,所以硬件接口設計非常簡單;然而,通信協議是芯片廠家自己定義的,所以在軟件設計中,需要用微處理器通用I/O口模擬通信協議。
a.硬件設計
SHTl1通過二線數字串行接口來訪問,所以硬件接口電路非常簡單。需要注意的地方是:DATA數據線需要外接上拉電阻,時鐘線SCK用于微處理器和SHTll之間通信同步,由于接口包含了完全靜態邏輯,所以對SCK最低頻率沒有要求;當工作電壓高于4.5V時,SCK頻率最高為10 MHz,而當工作電壓低于4.5 V時,SCK最高頻率則為1 MHz。硬件連接如圖3所示。

b. 軟件設計
微處理器和溫濕度傳感器通信采用串行二線接口SCK和DATA,其中SCK為時鐘線,DATA為數據線。該二線串行通信協議和I2C協議是不兼容的。在程序開始,微處理器需要用一組“啟動傳輸”時序表示數據傳輸的啟動,如圖4所示。當SCK時鐘為高電平時,DATA翻轉為低電平;緊接著SCK變為低電平,隨后又變為高電平;在SCK時鐘為高電平時,DATA再次翻轉為高電平。

SHTll濕度測試時序如圖5所示。其中,陰影部分為SHTll控制總線。主機發出啟動命令,隨后發出一個后續8位命令碼。該命令碼包含3個地址位(芯片設定地址為000)和5個命令位;發送完該命令碼,將DATA總線設為輸入狀態等待SHTll的響應;SHTll接收到上述地址和命令碼后,在第8個時鐘下降沿,將DATA下拉為低電平作為從機的ACK;在第9個時鐘下降沿之后,從機釋放DATA(恢復高電平)總線;釋放總線后,從機開始測量當前濕度,測量結束后,再次將DATA總線拉為低電平;主機檢測到DATA總線被拉低后,得知濕度測量已經結束,給出SCK時鐘信號;從機在第8個時鐘下降沿,先輸出高字節數據;在第9個時鐘下降沿,主機將DATA總線拉低作為ACK信號,然后釋放總線DATA;在隨后8個SCK周期下降沿,從機發出低字節數據;接下來的SCK下降沿,主機再次將DATA總線拉低作為接收數據的ACK信號;最后8個SCK下降沿從機發出CRC校驗數據,主機不予應答(NACK)則表示測量結束。

由于微處理器通過二線串行數字接口訪問濕度傳感器SHTll,而訪問協議是芯片生產商自定義的,所以需要用通用I/O口模擬該通信協議。我們選用Atmel公司的微處理器ATmegal28。通過對I/O口寄存器的編程,該處理器的I/O口可以根據需要設置成輸入、輸出、高阻等狀態,這為模擬該通信協議提供了條件。在軟件實現過程中,通過宏定義來實現I/O口狀態的改變。

通過以上宏定義,可以實現SCK和DATA總線的各種輸入和輸出狀態。為了模擬該二線串行數字協議,還需要一個延時函數。WINAVR庫函數提供了一個延時函數_delay_loop_2(unslgned char s),該延時函數運行用4個時鐘周期,所以白定義延時1μs函數可以定義如下:#deftne CPU_CRYSTAL 7.3728

基于以上宏定義和延時函數,可以方便地使SCK和DATA總線輸出持續一定時間的高電平或低電平,從而可以模擬圖5所示的溫濕度傳感器SHTll的讀寫協議。
c. 溫度和濕度值的計算
濕度線性補償和溫度補償
SHTll可通過DATA數據總線直接輸出數字量濕度值。該濕度值稱為“相對濕度”,需要進行線性補償和溫度補償后才能得到較為準確的濕度值。由于相對濕度數字輸出特性呈一定的非線性,因此為了補償濕度傳感器的非線性,可按下式修正濕度值:
式中:RHincar為經過線性補償后的濕度值,SORH為相對濕度測量值,C1、C2、C3為線性補償系數,取值如表2所列。

由于溫度對濕度的影響十分明顯,而實際溫度和測試參考溫度25℃有所不同,所以對線件補償后的濕度值進行溫度補償很有必要。補償公式如下:

式中:RHtrue為經過線性補償和溫度補償后的濕度值,T為測試濕度值時的溫度(℃),t1和t2為溫度補償系數,取值如表3所列。
溫度值輸出
由于SHTll是采用PTAT能隙材料制成的溫度敏感元件,因而具有很好的線性輸出。實際溫度值可由下式算得:
Temperture=dl+d2×SOT
式中:d1和d2為特定系數,d1的取值與SHTll工作電壓有關,d2的取值則與SHTll內部A/D轉換器采用的分辨率有關,其對應關系分別如表4和表5所列。

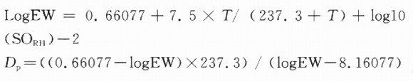
露點計算
露點是一個特殊的溫度值,是空氣保持某一定濕度必須達到的最低溫度。當空氣的溫度低于露點時,空氣容納不了過多的水分,這些水分會變成霧、露水或霜。露點可以根據當前相對濕度值和溫度值計算得出,具體的計算公式如下:

式中:T為當前溫度值,SORH為相對濕度值,DP為露點。
結論
溫濕度傳感器SHTll集溫度傳感器和濕度傳感器于一體,因此采用SHTll進行溫濕度實時監測的系統具有精度高、成本低、體積小、接口簡單等優點;另外SHTll芯片內部集成了14位A/D轉換器,且采用數字信號輸出,因此抗干擾能力也比同類芯片高。該芯片在溫濕度監測、自動控制等領域均已得到廣泛應用。





